lemon-mirror:
Home >> Suzuki >> 2007 >> SX4 2WD L4-2.0L >> Repair and Diagnosis >> Powertrain Management >> Computers and Control Systems >> Testing and Inspection >> Mode 6 Data

Mode 6 Data

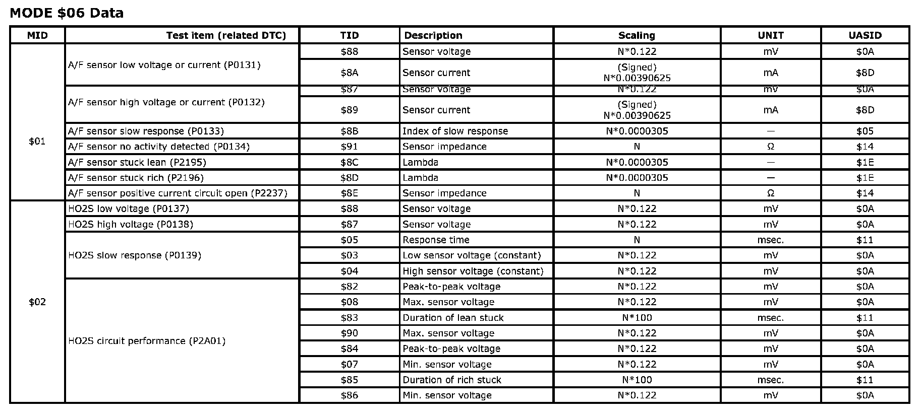
Mode $06 Data:



Mode $06 Data:



Mode $06 Data:



Mode $06 Data:



Mode $06 Data: