lemon-mirror:
Home >> Suzuki >> 2004 >> Verona L6-2.5L >> Repair and Diagnosis >> Powertrain Management >> Computers and Control Systems >> Technical Service Bulletins >> Recalls >> Generals >> Campaign - O2 Sensor Replacement

Campaign - O2 Sensor Replacement

VERONA

Section Title: Engine
TSB No. TS 1407276

Division: Automotive
Category: Technical

SUBJECT:
02 SENSOR REPLACEMENT, CUSTOMER SATISFACTION SERVICE ACTION

MODEL(S):
VERONA (RP625)

YEAR(S):
2004-2005

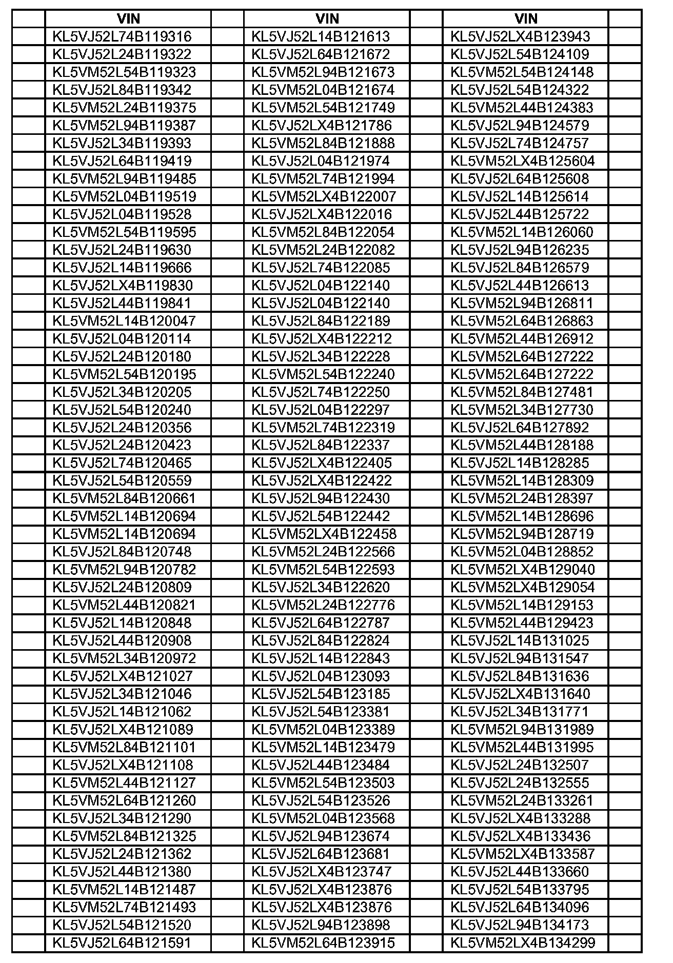
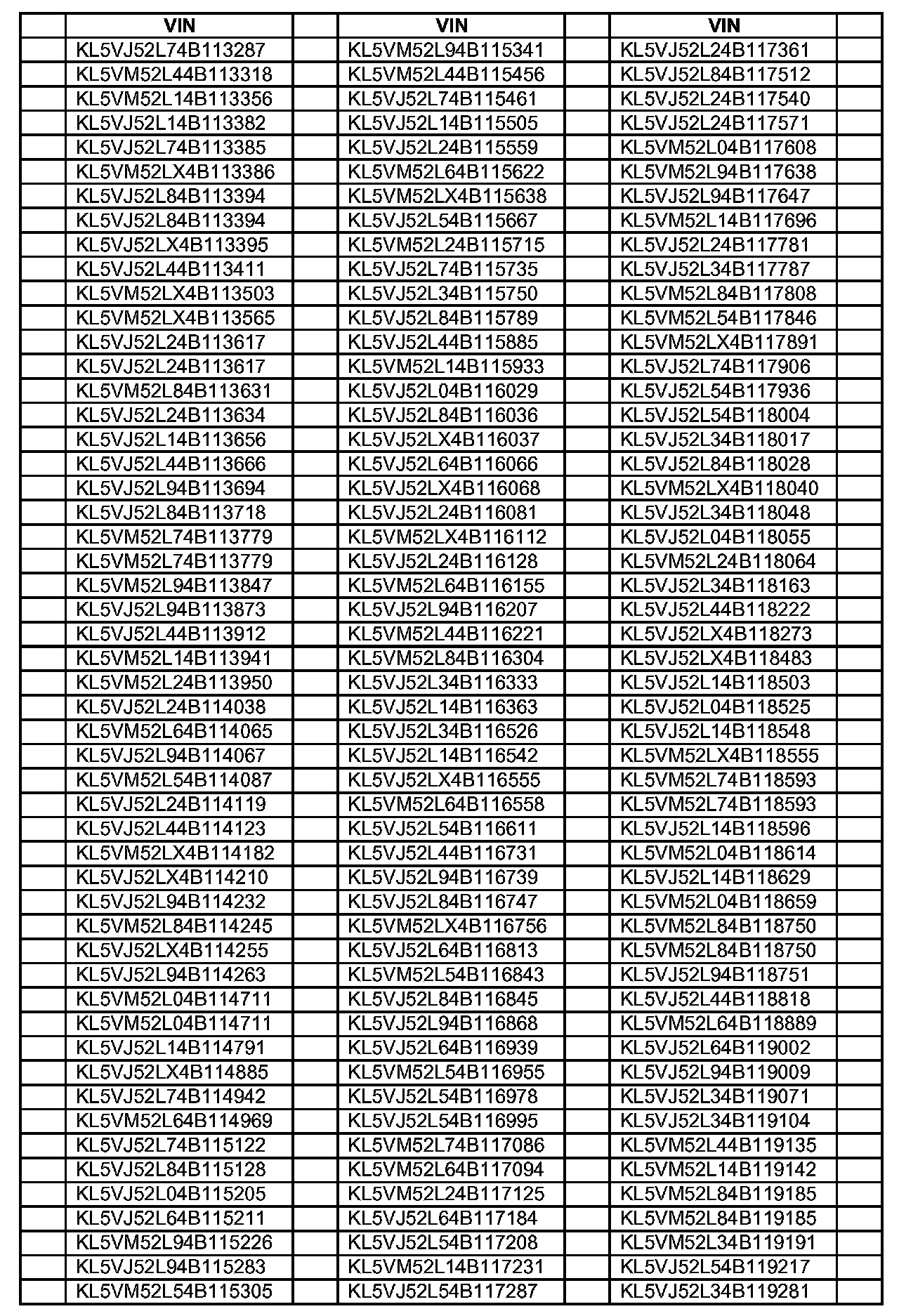
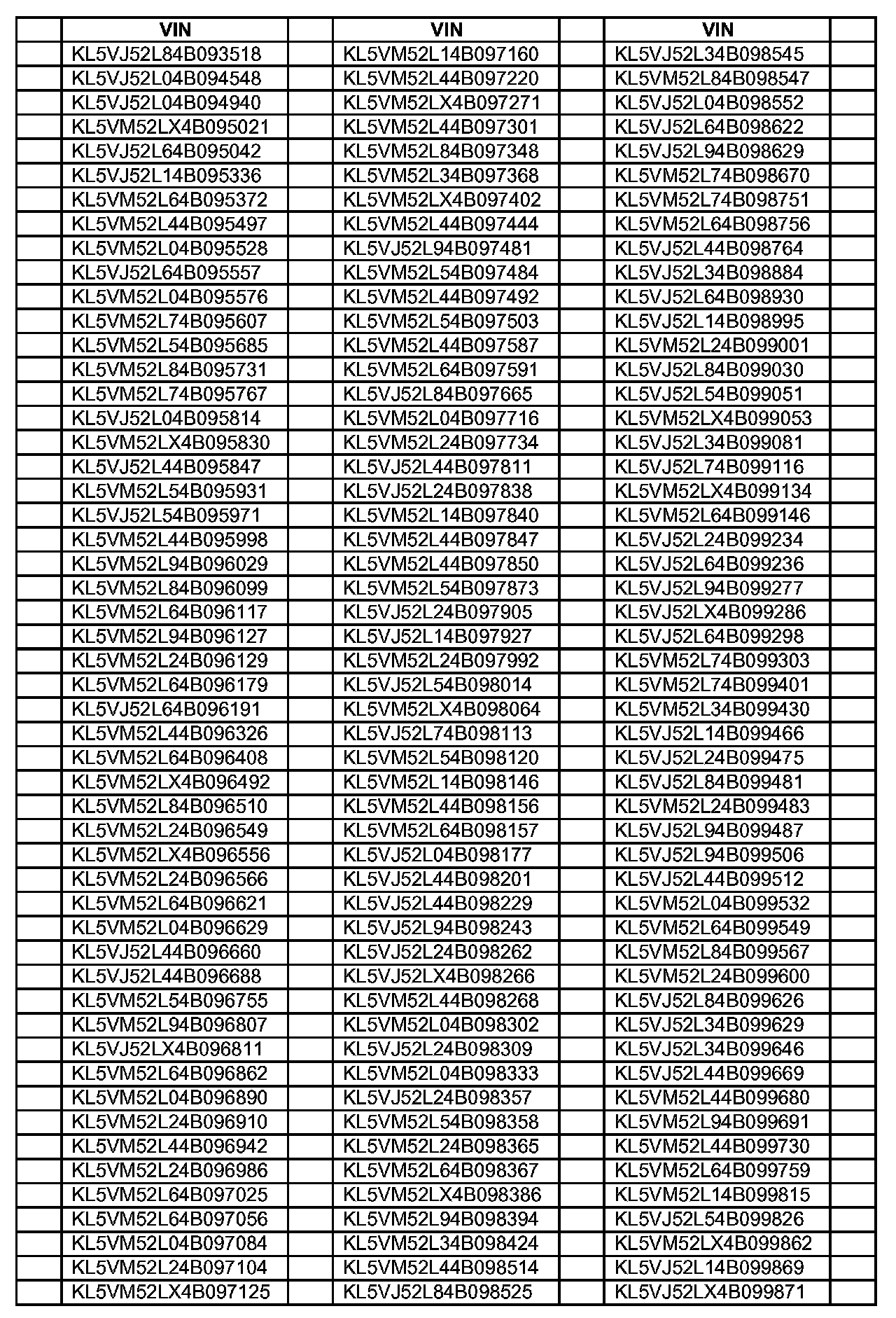
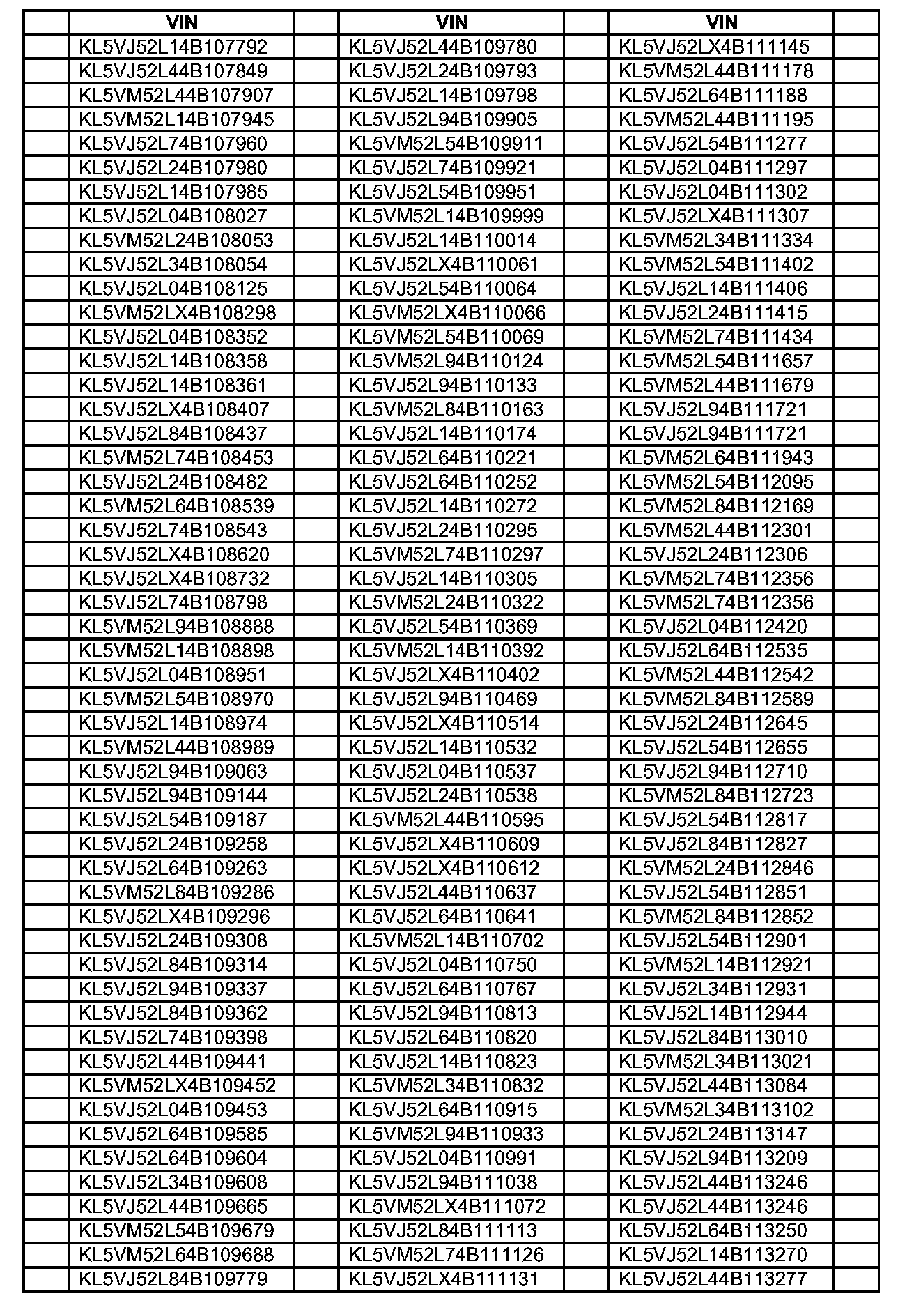
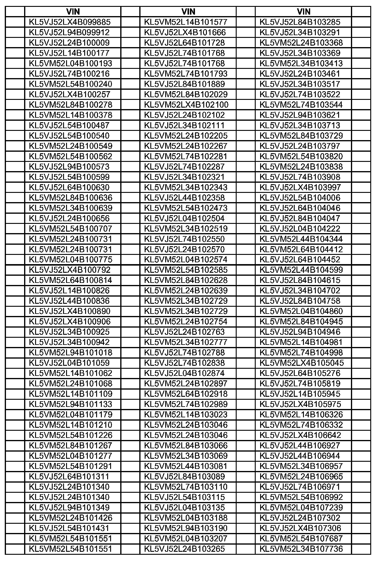
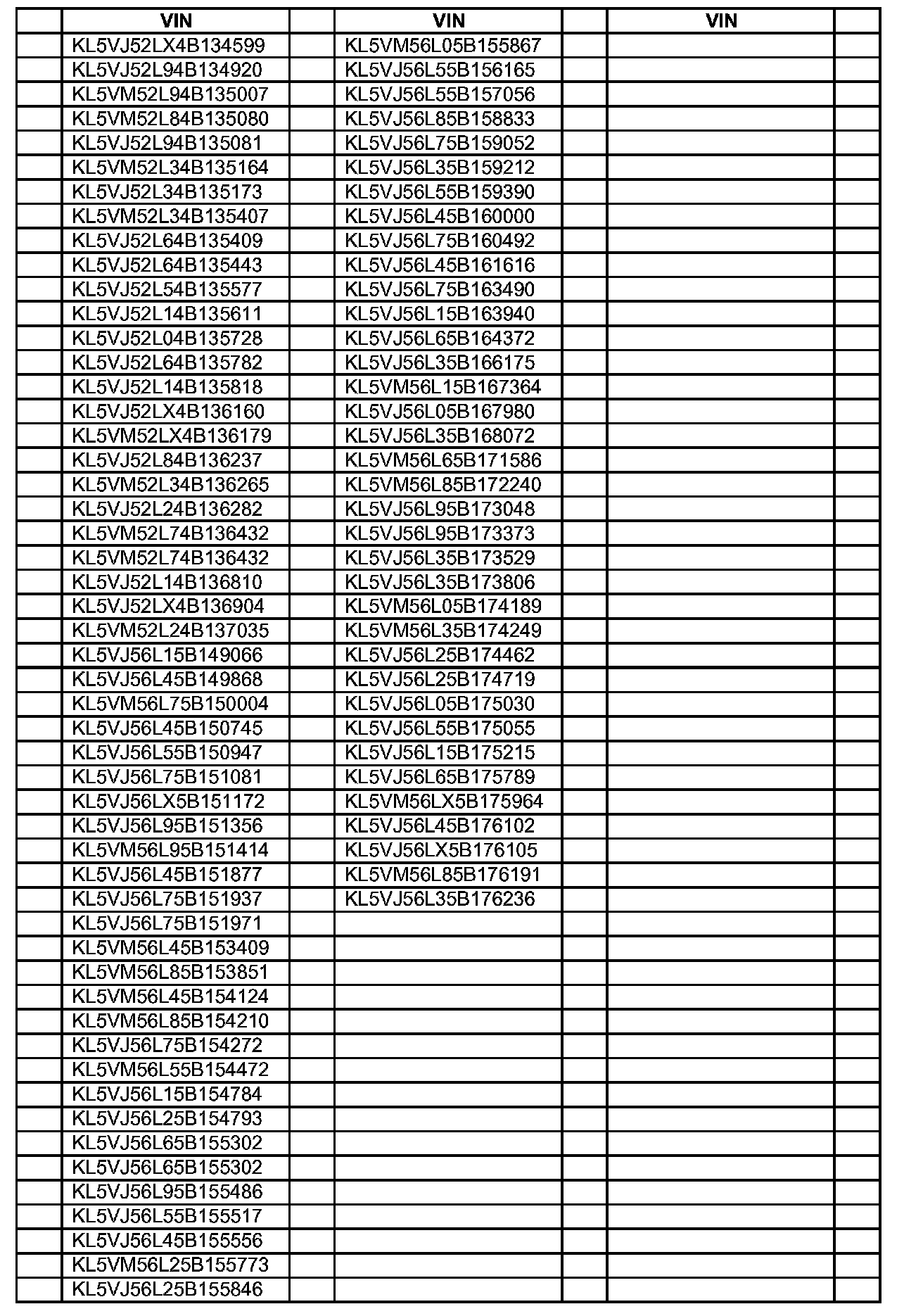
AFFECTED VIN(S): SEE LIST

CONDITION:
The wrong upstream 02 sensor may have been installed during a previous repair.

CAUSE:
Part catalog error.

CORRECTION
During a past service event which involved replacing one or both Upper Oxygen (02) Sensor(s), an incorrect part (a part designed for another market application) may have been installed. The incorrect Oxygen Sensor(s), which perform the same function as the correct one, was released as a repair part due to a parts catalog error. We have tested the incorrect Oxygen Sensor, and determined that it should not affect performance, or cause damage to the vehicle. If the Malfunction Indicator Light (MIL) illuminates, and the incorrect Oxygen Sensor is found to be the failed part your dealership will perform replacement at no charge for the life of the vehicle. This only applies to vehicles listed on the VIN list. Do not take action unless the 02 sensor(s) is found to be the failed part. ASMC will notify owners of this service action by mail; see the owner letter. If a Verona owner should contact your dealership for assistance, please take the appropriate action to provide the best possible customer service.





PART(S) INFORMATION:





WARRANTY CLAIM INFORMATION





Owner Letter





Verona "KL" VINs





Verona "KL" VINs





Verona "KL" VINs





Verona "KL" VINs





Verona "KL" VINs





Verona "KL" VINs





Disclaimer