lemon-mirror:
Home >> Saturn >> 2008 >> VUE FWD L4-2.4L >> Repair and Diagnosis >> Powertrain Management >> Computers and Control Systems >> Specifications >> Temperature Versus Resistance

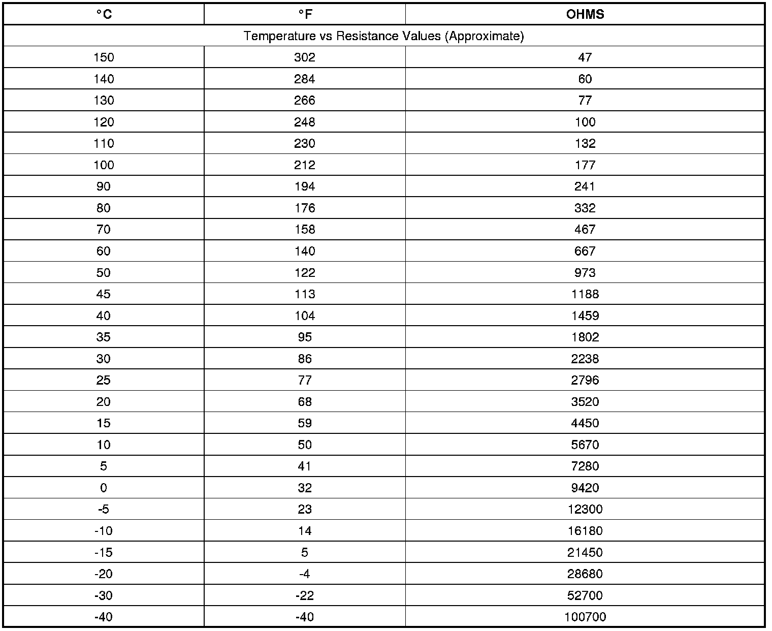
Temperature Versus Resistance



Temperature Versus Resistance