lemon-mirror:
Home >> Saturn >> 2007 >> Sky L4-2.4L >> Repair and Diagnosis >> Specifications >> Electrical Specifications >> Automatic Transmission/Transaxle >> System Specifications >> Component Resistance

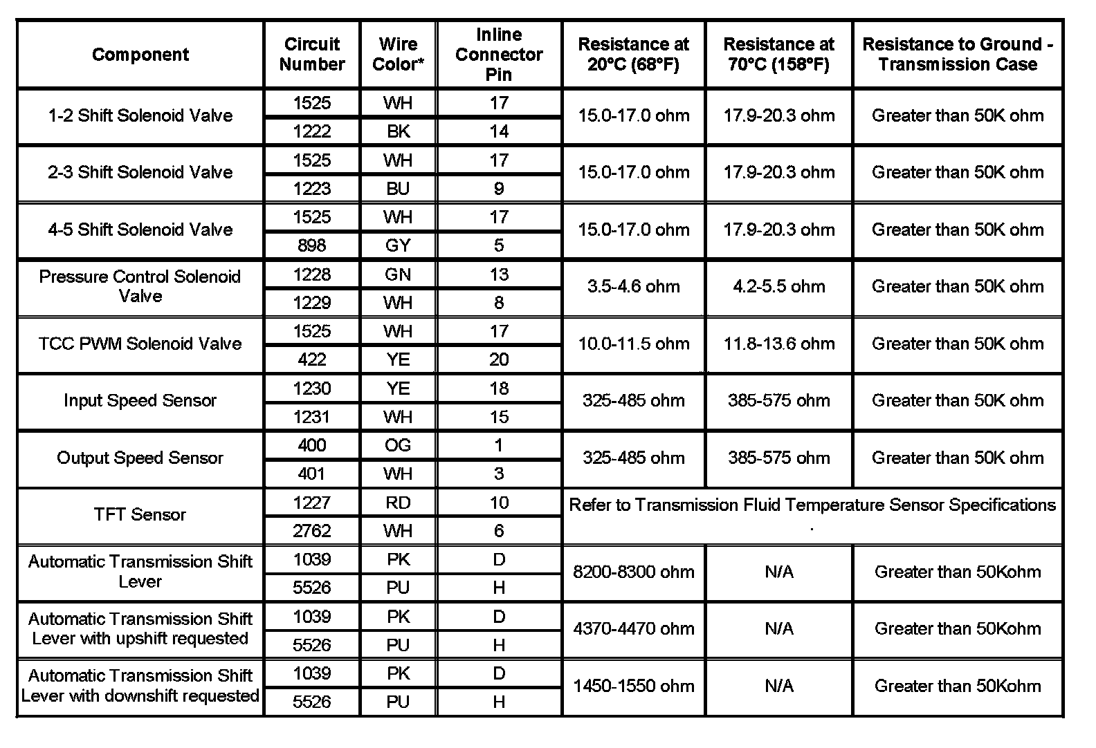
Component Resistance



Component Resistance

Component Resistance: