lemon-mirror:
Home >> Saturn >> 2004 >> ION L4-2.2L VIN F >> Repair and Diagnosis >> Cruise Control >> Testing and Inspection >> Scan Tool Testing and Procedures >> Scan Tool Data List

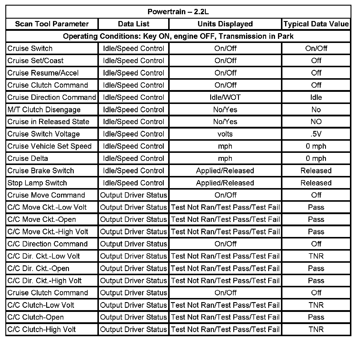
Scan Tool Data List

Powertrain: