lemon-mirror:
Home >> Saturn >> 2003 >> ION L4-2.2L VIN F >> Repair and Diagnosis >> Specifications >> Mechanical Specifications >> Engine >> System Specifications >> Thread Repair Specifications >> Cylinder Head - Top View

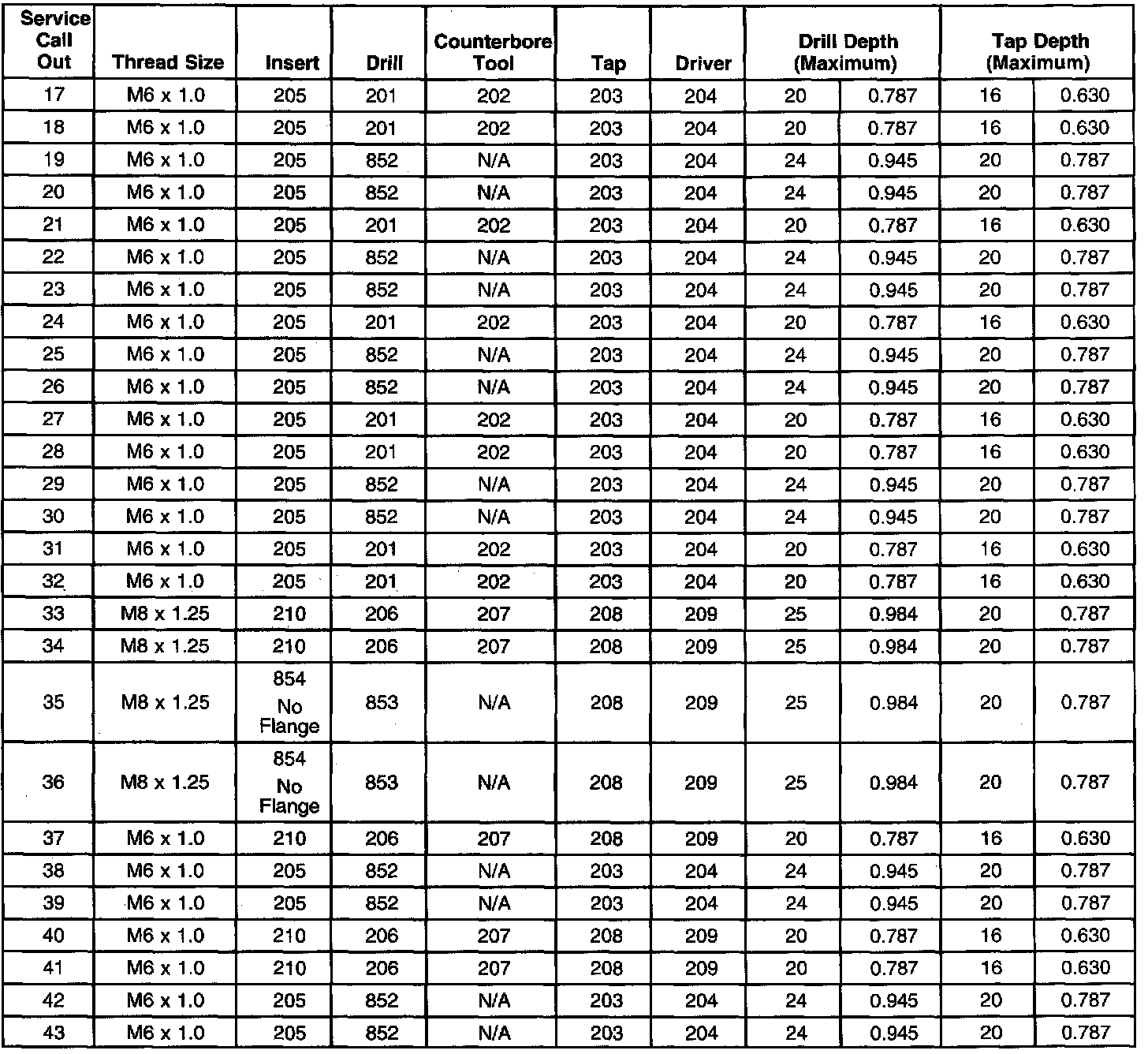
Cylinder Head - Top View

Part 1 Of 2:



Part 2 Of 2: