lemon-mirror:
Home >> Saturn >> 2002 >> VUE L4-2.2L VIN D >> Repair and Diagnosis >> Testing and Inspection >> Programming and Relearning >> PASSLOCK - Relearn Procedure

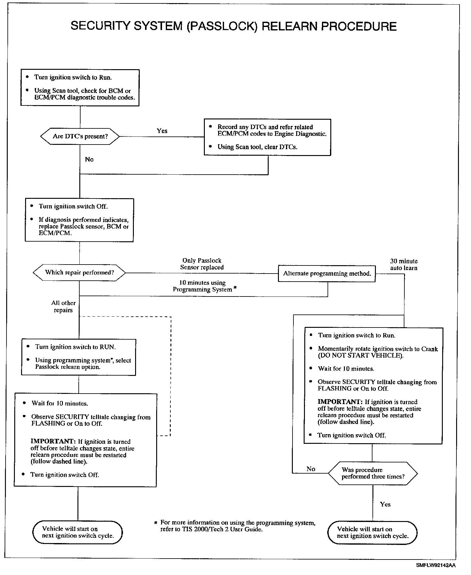
PASSLOCK - Relearn Procedure

Diagnostic Chart: