lemon-mirror:
Home >> Saturn >> 2001 >> L100 L4-2.2L VIN F >> Repair and Diagnosis >> Testing and Inspection >> Programming and Relearning >> PASSLOCK - Security System Relearn Procedure

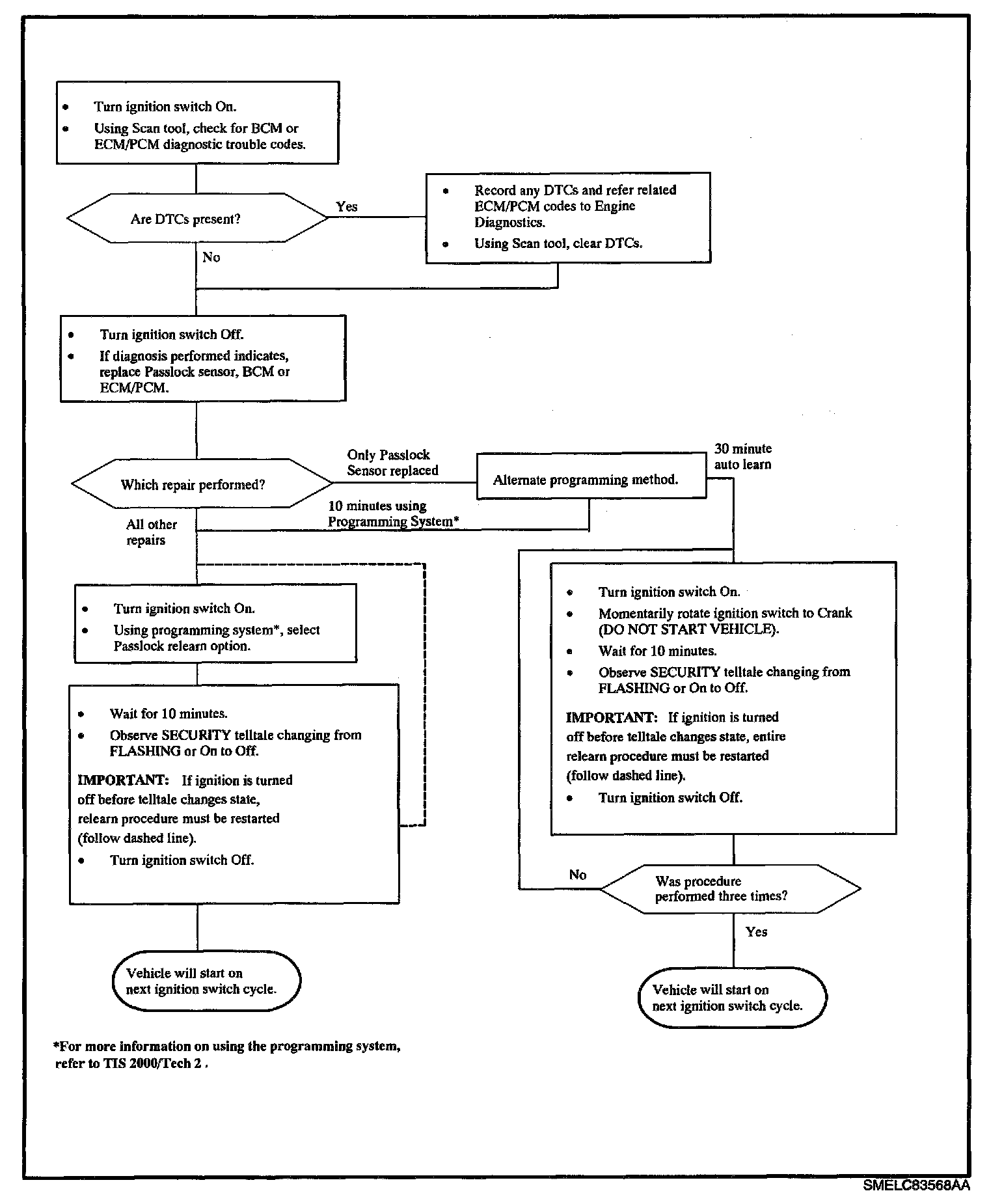
PASSLOCK - Security System Relearn Procedure

Diagnostic Chart: