lemon-mirror:
Home >> Saab >> 2005 >> 9-7X L6-4.2L >> Repair and Diagnosis >> Powertrain Management >> Computers and Control Systems >> Specifications >> Temperature Versus Resistance

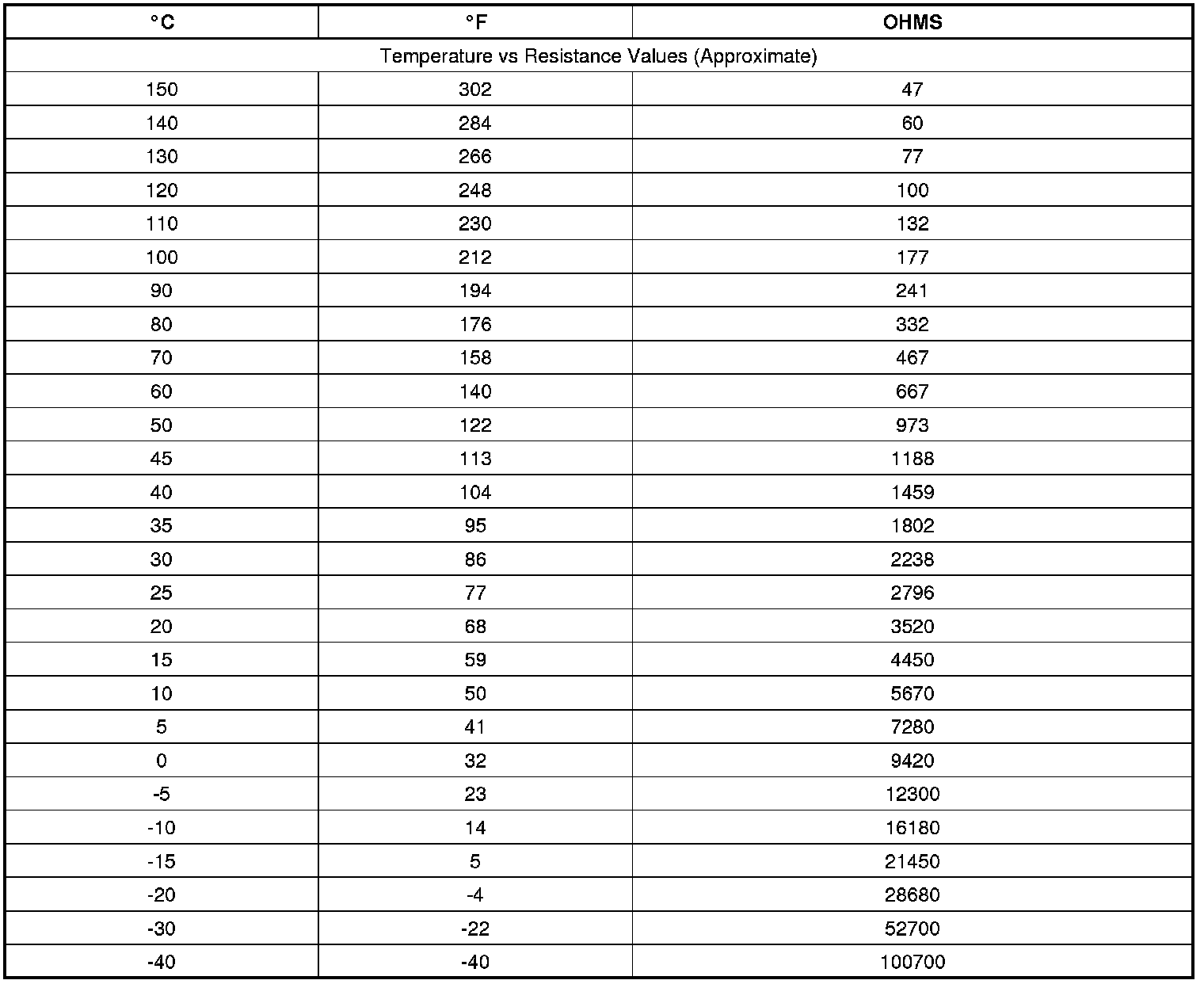
Temperature Versus Resistance



Temperature Versus Resistance