lemon-mirror:
Home >> Saab >> 1982 >> 900 L4-1985cc 2.0L >> Repair and Diagnosis >> Powertrain Management >> Computers and Control Systems >> Oxygen Sensor >> Testing and Inspection

Oxygen Sensor: Testing and Inspection

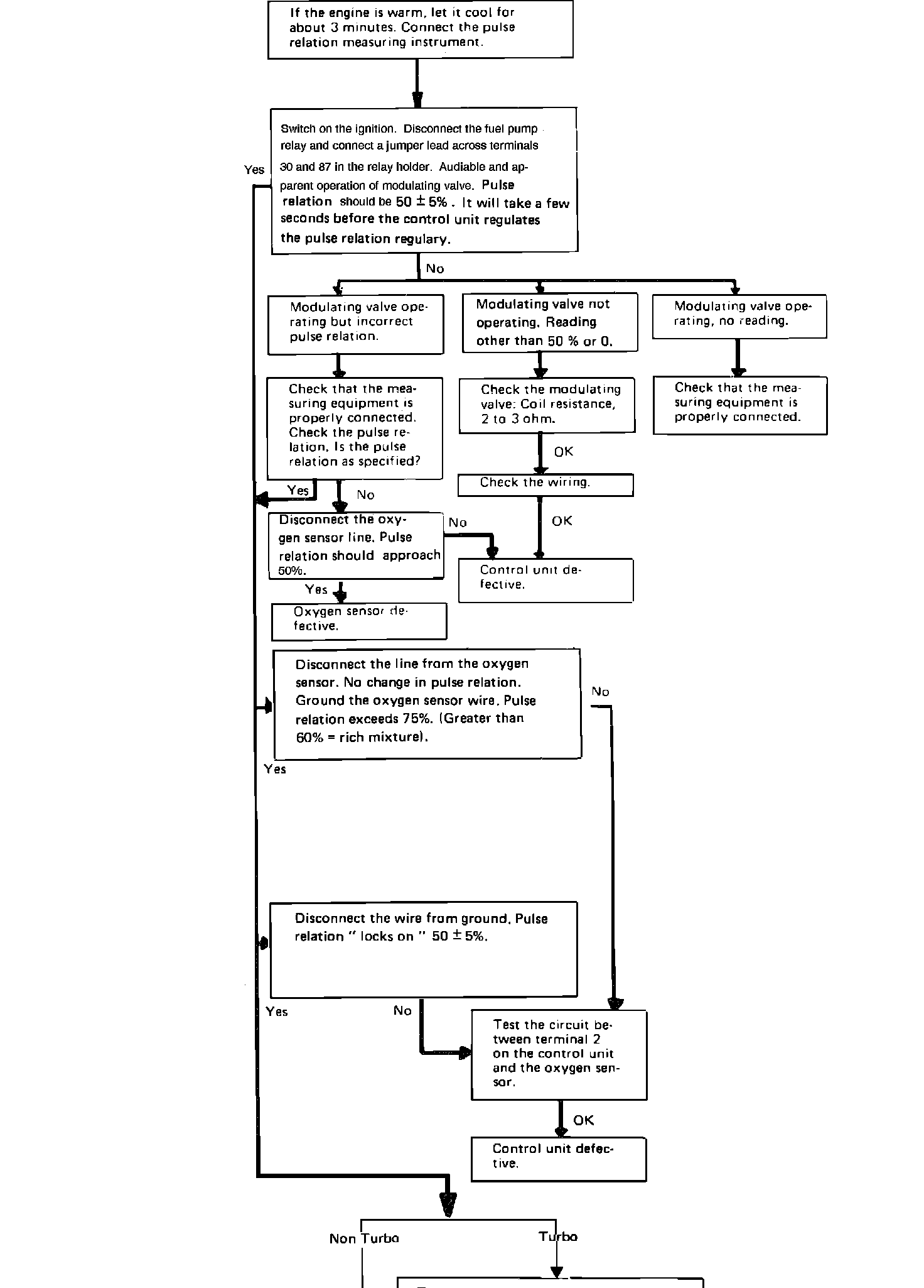
�G�Fig. 97 Lambda Sensor Fault Diagnosis Chart: