lemon-mirror:
Home >> Pontiac >> 2008 >> Torrent FWD V6-3.4L >> Repair and Diagnosis >> Specifications >> Electrical Specifications >> Coolant Temperature Sensor/Switch (For Computer)

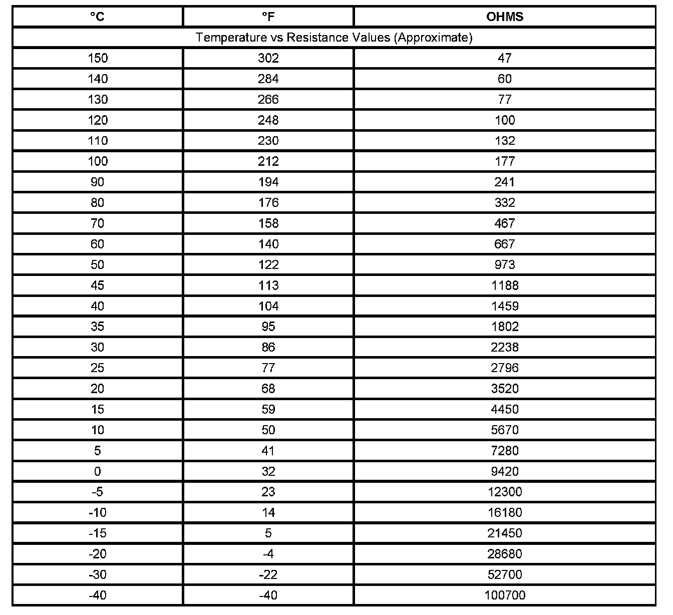
Coolant Temperature Sensor/Switch (For Computer)



Temperature Versus Resistance