lemon-mirror:
Home >> Pontiac >> 2008 >> G6 L4-2.4L >> Repair and Diagnosis >> Specifications >> Electrical Specifications >> Computers and Control Systems

Computers and Control Systems



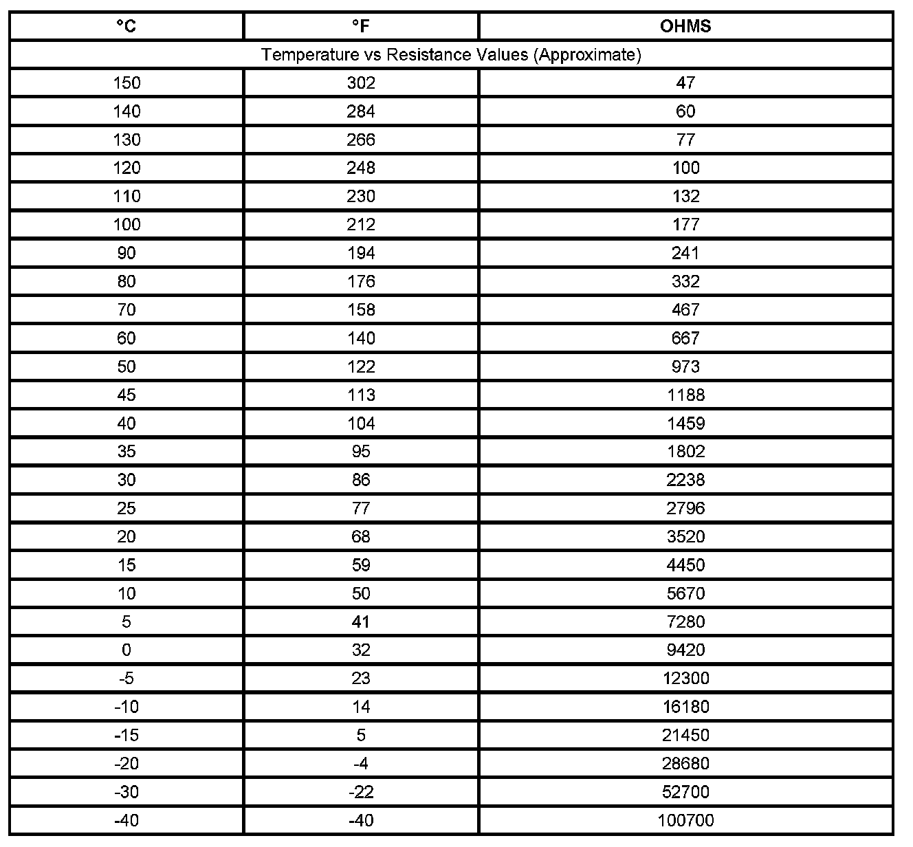
Temperature Versus Resistance