lemon-mirror:
Home >> Pontiac >> 2008 >> G6 L4-2.4L >> Repair and Diagnosis >> Diagrams >> Connector Views >> Air Bag Control Module

Air Bag Control Module



Component Connector End Views - Continued

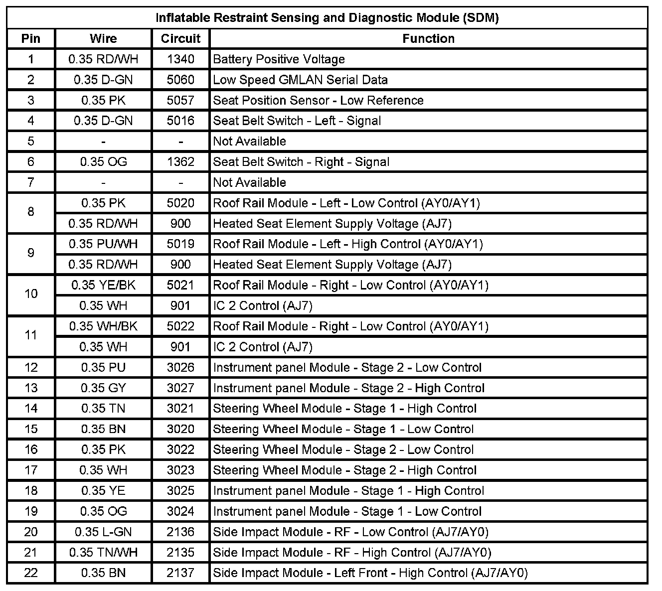
Inflatable Restraint Sensing and Diagnostic Module (SDM)









Inflatable Restraint Sensing And Diagnostic Module (SDM) (Pin 1 To 22):





Inflatable Restraint Sensing And Diagnostic Module (SDM) (Pin 23 To 60):