lemon-mirror:
Home >> Pontiac >> 2003 >> Sunfire L4-2.2L VIN F >> Repair and Diagnosis >> Specifications >> Mechanical Specifications >> Engine >> System Specifications >> General Engine Specifications

General Engine Specifications

Fastener Tightening Specifications








General








Overhaul

Engine Mechanical Specifications





General











Overhaul

Tightening Sequence





Cylinder Head
Refer to the procedure Service and Repair

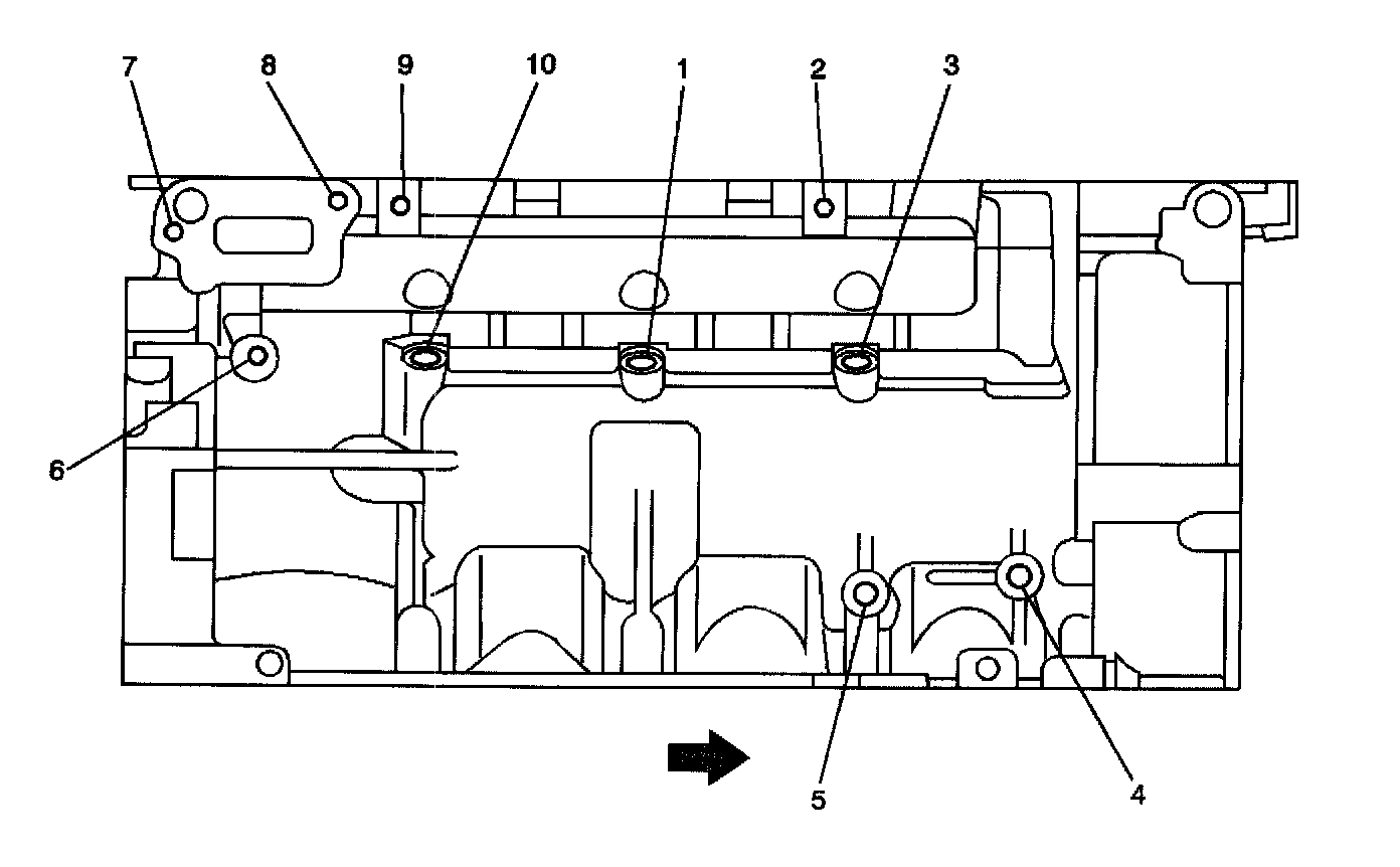
Camshaft Bearing Caps
Refer to the procedure Service and Repair





Exhaust Manifold

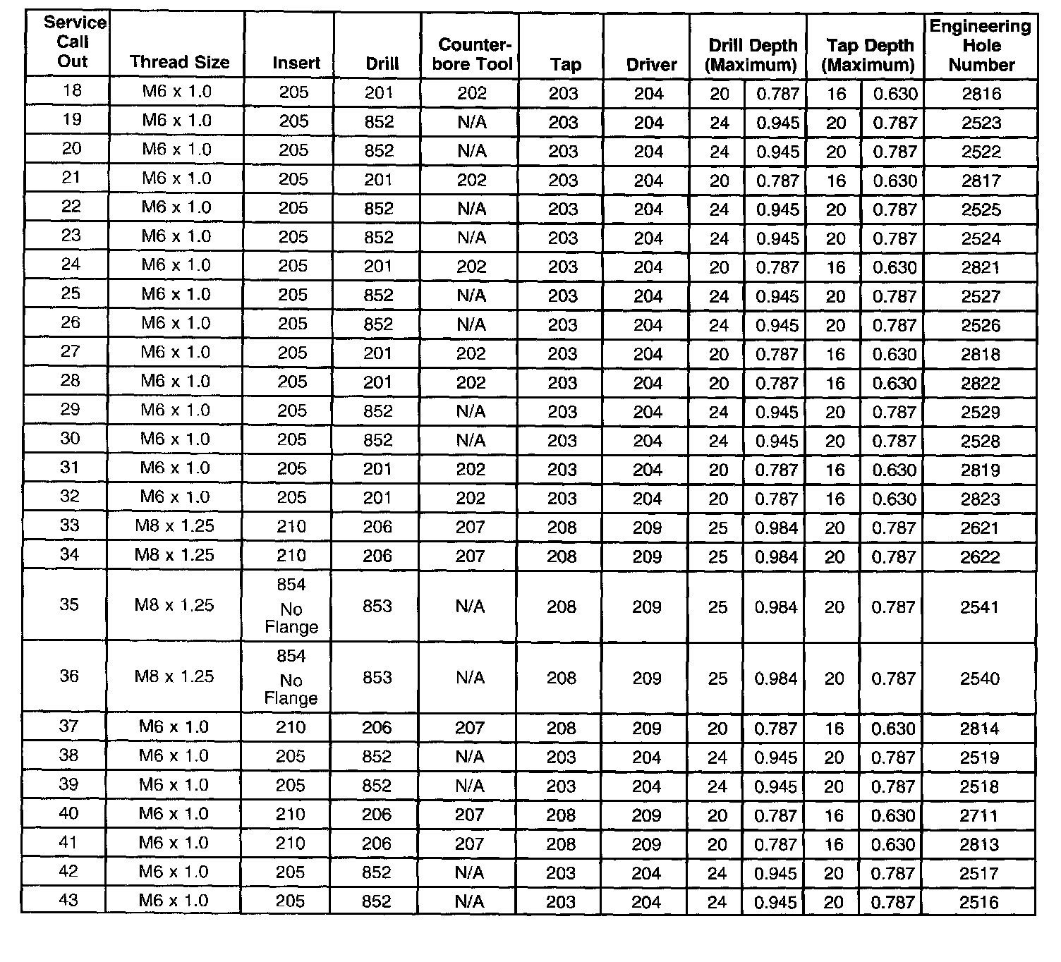
Thread Repair Specifications











Engine Block-Front View








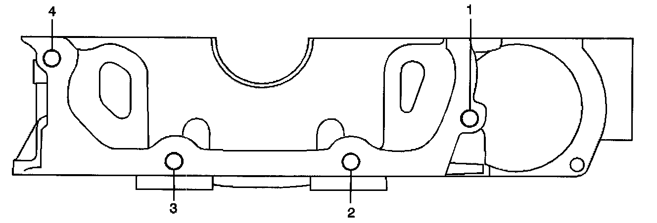
Engine Block-Back View








Engine Block-Left Side View











Engine Block-Bottom View











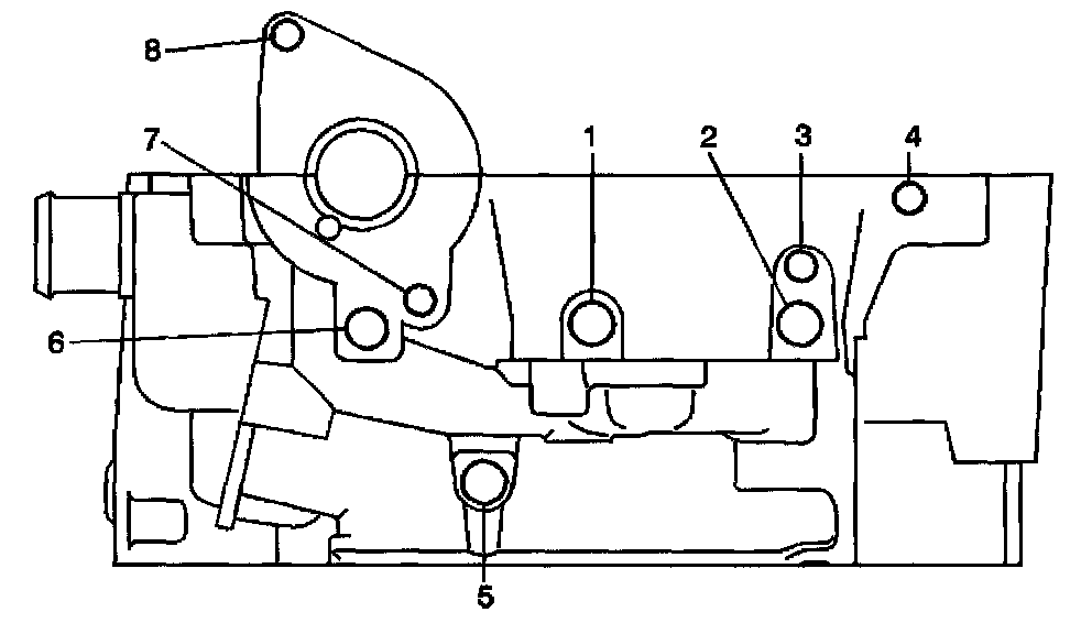
Engine Block-Right Side View











Engine Block-Top View








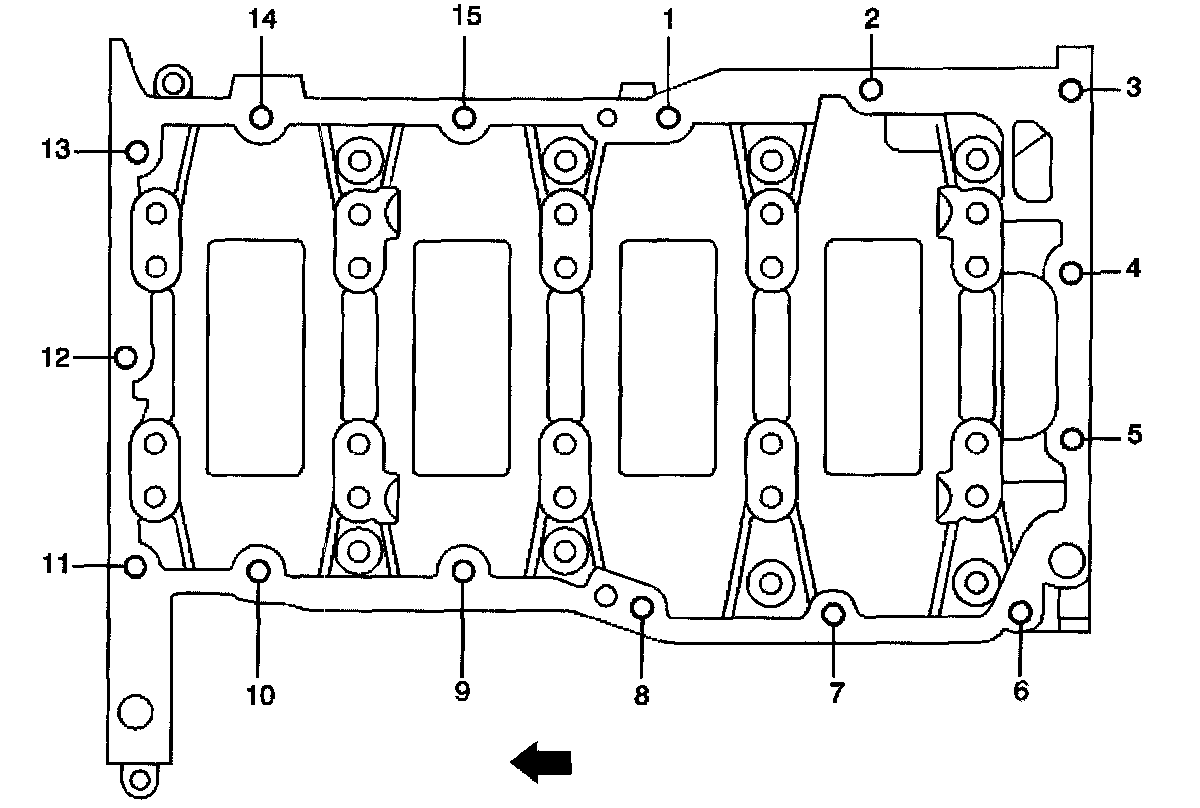
Lower Crankcase - Front View








Lower Crankcase-Back View








Lower Crankcase - Bottom View








Lower Crankcase - Left View








Lower Crankcase-Right View











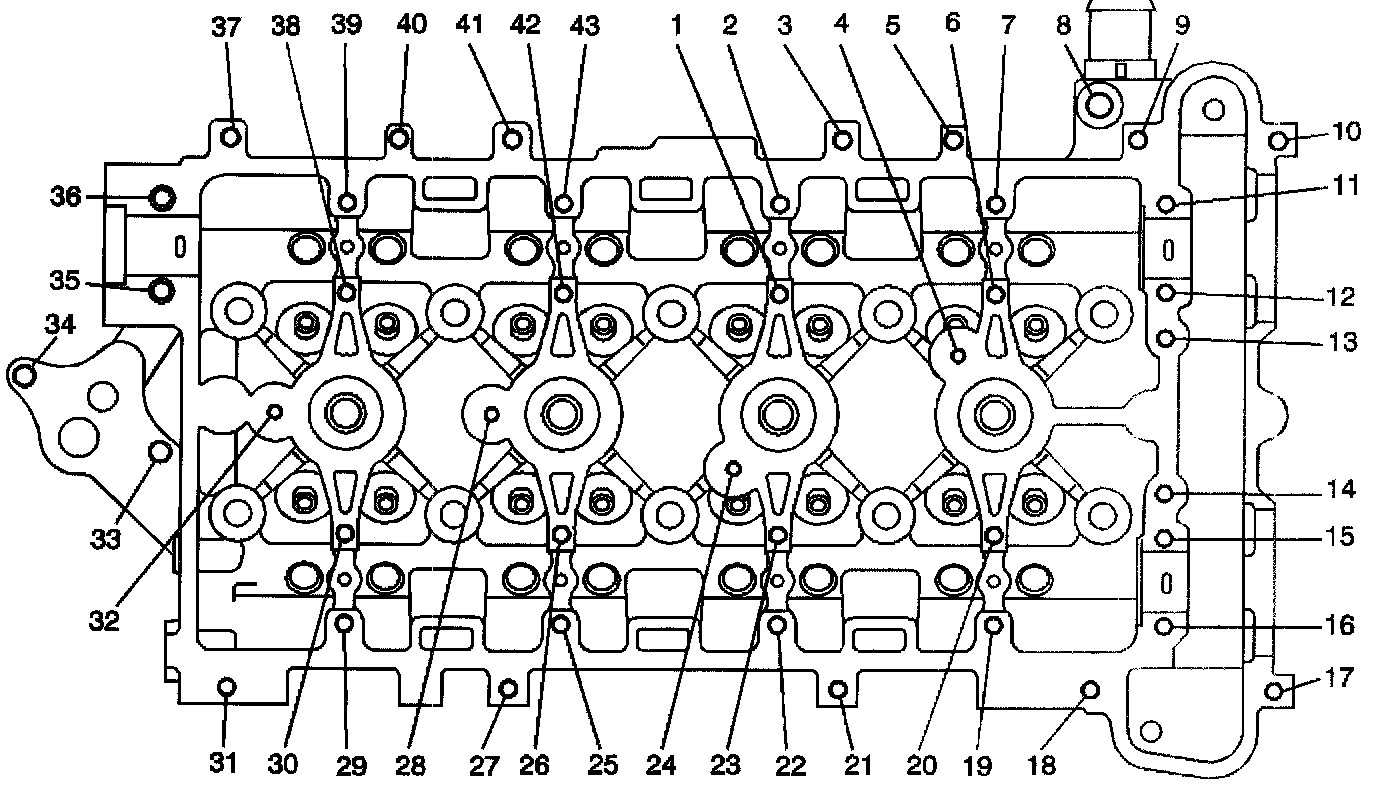
Cylinder Head-Top View








Cylinder Head-Intake Manifold Deck View








Cylinder Head-Exhaust Manifold Deck View








Cylinder Head-Front View








Cylinder Head-Back View
Note: 1, 2, 5, 6 holes are oil passages.








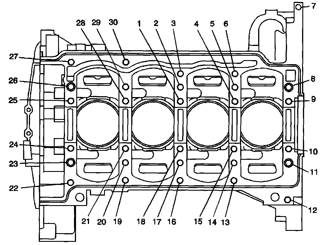
Cylinder Head-Bottom View