lemon-mirror:
Home >> Pontiac >> 2002 >> Grand AM L4-2.2L VIN F >> Repair and Diagnosis >> Specifications >> Mechanical Specifications >> Engine >> System Specifications >> Thread Repair Specifications >> Cylinder Head-Top View

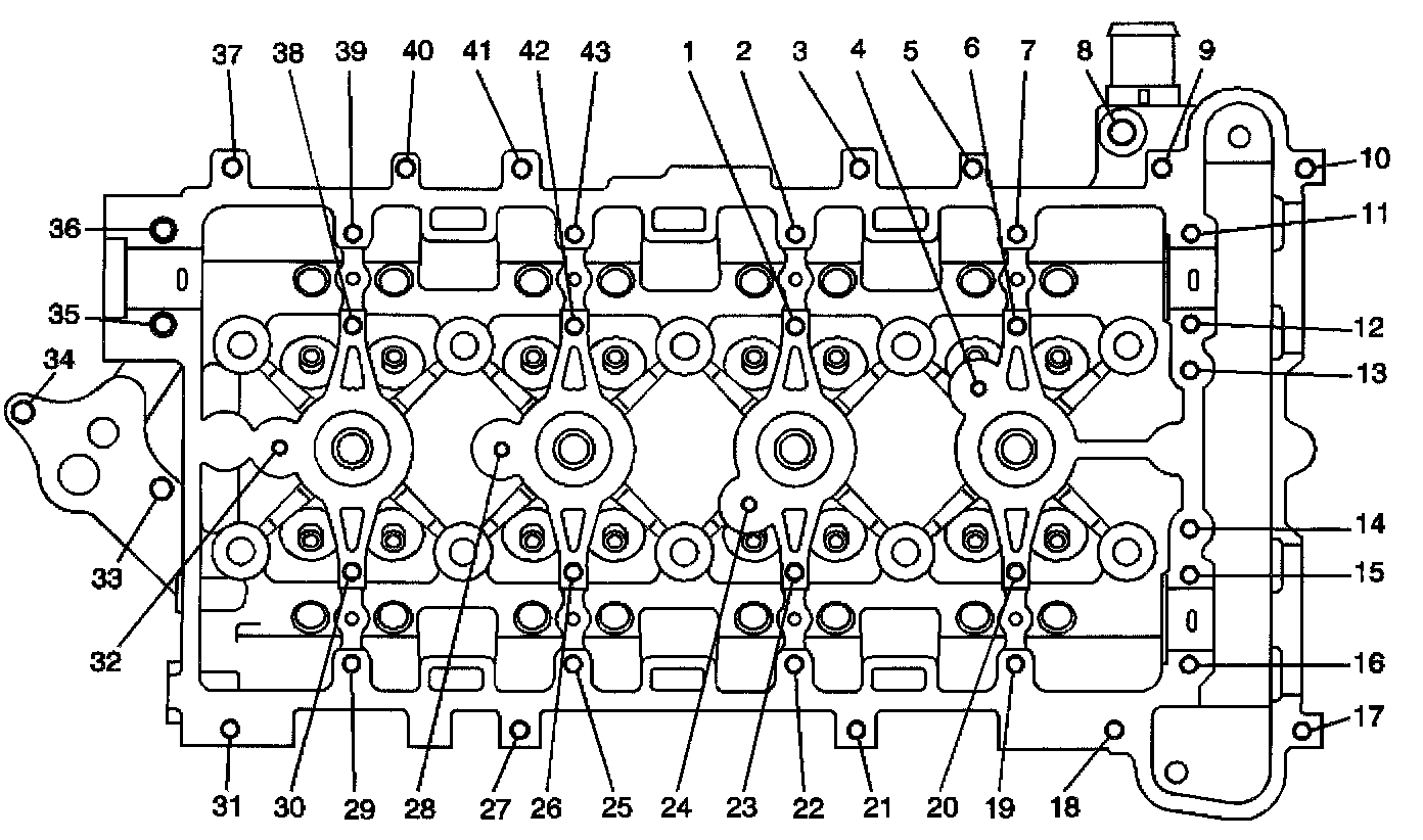
Cylinder Head-Top View

Cylinder Head-Top View





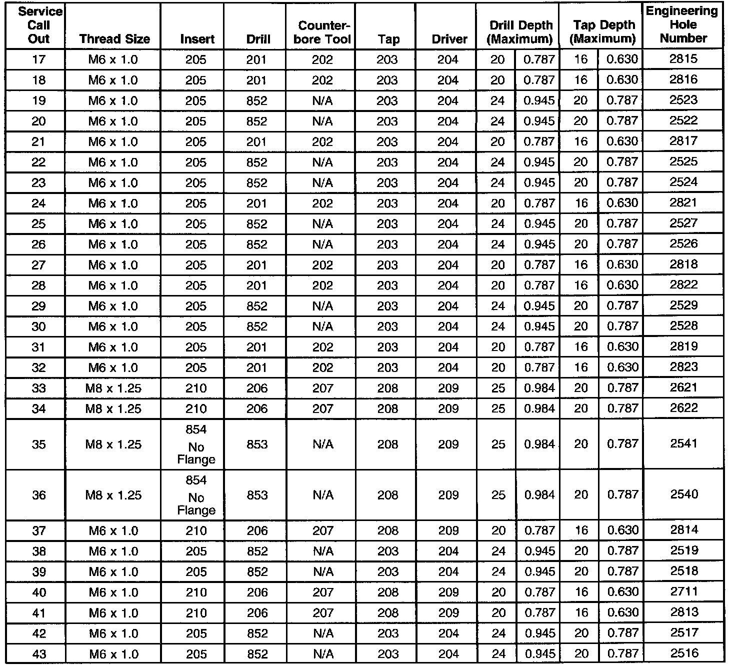
Part 1 of 3





Part 2 of 3





Part 3 of 3