lemon-mirror:
Home >> Pontiac >> 1985 >> Firebird V6-173 2.8L >> Repair and Diagnosis >> Powertrain Management >> Computers and Control Systems >> Electronic Spark Control Module >> Testing and Inspection

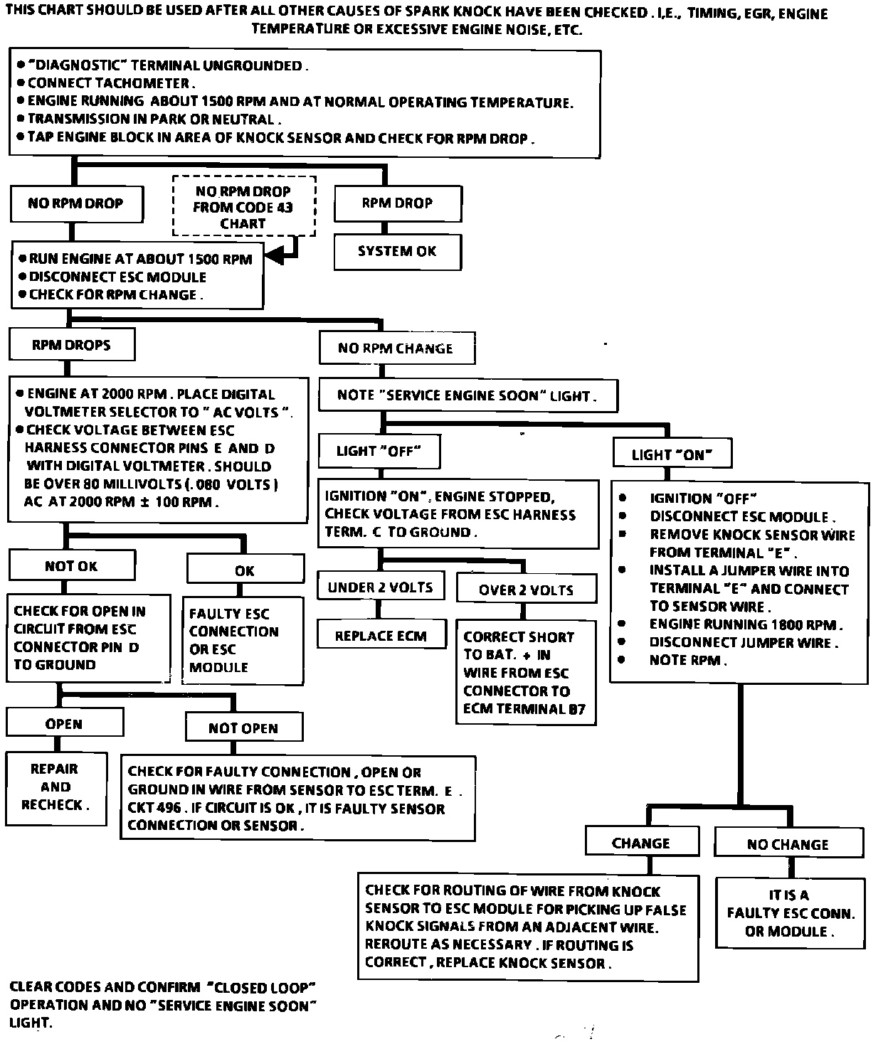
Electronic Spark Control Module: Testing and Inspection

Fig. 6e ESC performance chart (1985-86 port injected models exc. 4-110/1.8L):