lemon-mirror:
Home >> Pontiac >> 1985 >> Firebird L4-151 2.5L >> Repair and Diagnosis >> Starting and Charging >> Specifications

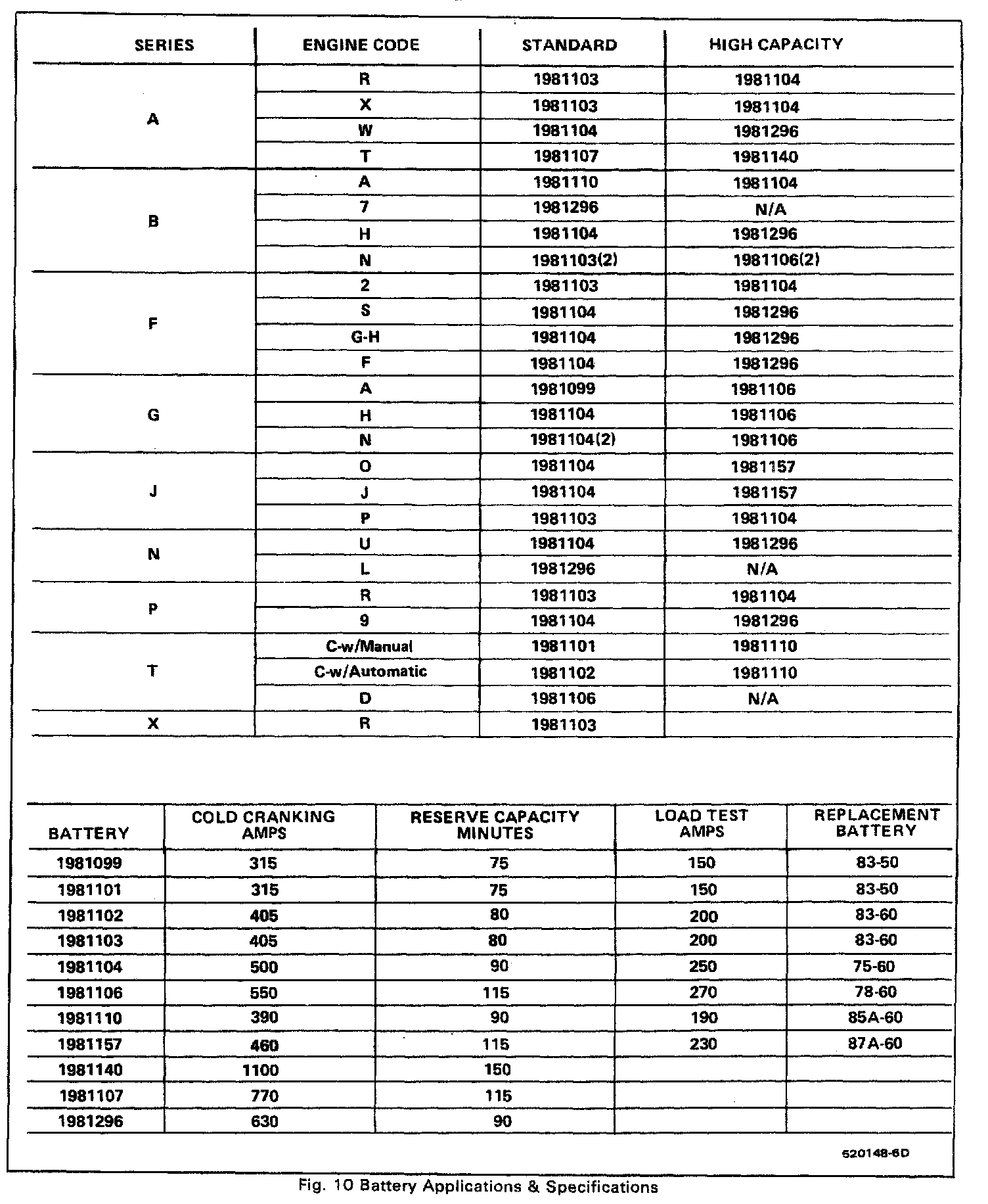
Starting and Charging: Specifications



BATTERY SPECIFICATIONS





ALTERNATOR AND STARTER SPECIFICATIONS