lemon-mirror:
Home >> Pontiac >> 1985 >> Fiero L4-151 2.5L >> Repair and Diagnosis >> Starting and Charging >> Specifications

Starting and Charging: Specifications



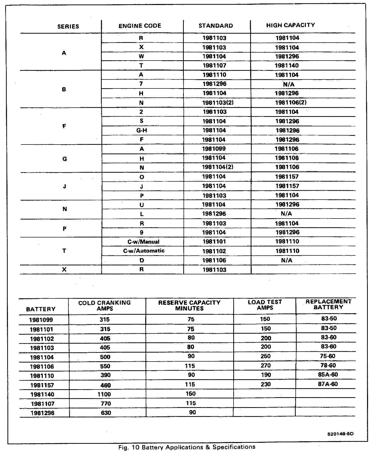
BATTERY SPECIFICATIONS





ALTERNATOR SPECIFICATIONS





STARTER SPECIFICATIONS