lemon-mirror:
Home >> Mercury >> 2010 >> Mariner 2WD L4-2.5L >> Repair and Diagnosis >> Powertrain Management >> Tune-up and Engine Performance Checks >> Compression Check >> Testing and Inspection >> Compression Test

Compression Test




Engine







Component Tests

The following component tests are used to diagnose engine concerns.

Compression Test - Hybrid

The compression test requires cranking the engine a minimum of 5 compression strokes with the throttle plate in the wide-open position for each cylinder. The engine cranking diagnostic mode must be used to crank the engine and the brake/accelerator pedals must be used to position the throttle plate during the compression test. The engine cranking diagnostic mode is a PCM strategy which is separate from the normal operating strategy. It allows the engine to crank in a similar fashion as a conventional vehicle with the fuel disabled. When in this mode, the PCM commands the Transmission Control Module (TCM) to spin the generator, which cranks the engine with the speed between 900 and 1,200 rpm. The engine will crank as long as the traction battery state of charge stays greater than 35%.

1. Make sure the oil in the crankcase is of the correct viscosity and at the correct level. Operate the vehicle until the engine is at normal operating temperature.

2. Using the Vehicle Communication Module (VCM), access the Battery Control Module (BCM) and monitor the traction battery state of charge PID. If the monitored PID displays the state of charge below 45%, start and idle the engine with full A/C ON. When the traction battery state of charge exceeds 45%, the engine cranking diagnostic mode can be activated.

3. Turn the ignition switch to the OFF position, then remove all the spark plugs.

4. Install a compression gauge in the No. 1 cylinder.

5. Activate the cranking diagnostic mode as follows:
- Apply the parking brake.

- Place the gear selector in the PARK position.

- Verify the key is in the OFF position.

- NOTE: Do not crank the engine.

Turn the key to the ON position with the engine OFF.

- Within 5 seconds of the key in the ON position, fully apply the accelerator pedal and hold for 10 seconds.

- Within 5 seconds release the accelerator pedal, shift the gear selector to the NEUTRAL position and fully apply the accelerator pedal.

- Hold the accelerator pedal fully applied for 10 seconds.

- Release the accelerator pedal and shift the gear selector to the PARK position.
- If the sequence is correctly executed, the instrument cluster hazard indicator (red triangle) flashes once per second when the gear selector is shifted to the PARK position. The PCM exits the engine cranking diagnostic mode when the traction battery state of charge drops below 35%, the gear selector is shifted to any gear other than PARK or when the ignition key is turned to the OFF or ACC position.

6. NOTE: If the ignition key stays in the START position for 15 seconds or longer, the PCM may set DTC P2535.

NOTE: If the brake pedal is not depressed and held prior to depressing the accelerator pedal, the throttle plate will fail to open.

Crank the engine as follows:

- Depress and hold the brake pedal.

- Fully depress and hold the accelerator pedal.

- Turn the key to the START position and crank the engine a minimum of 5 compression strokes and record the highest reading. Return the key to the ON position.

- Release the accelerator pedal.

- Release the brake pedal.

7. Repeat the test on each cylinder, cranking the engine approximately the same number of compression strokes.

8. Position the key to the OFF position to deactivate the cranking diagnostic mode.

9. Clear all DTCs.

Compression Test - All Vehicles Except Hybrid

1. Make sure the oil in the crankcase is of the correct viscosity and at the correct level and that the battery is correctly charged. Operate the vehicle until the engine is at normal operating temperature. Turn the ignition switch to the OFF position, then remove all the spark plugs.

2. Set the throttle plates in the wide-open position.

3. Install a compression gauge in the No. 1 cylinder.

4. Install an auxiliary starter switch in the starting circuit. With the ignition switch in the OFF position, and using the auxiliary starter switch, crank the engine a minimum of 5 compression strokes and record the highest reading. Note the approximate number of compression strokes necessary to obtain the highest reading.

5. Repeat the test on each cylinder, cranking the engine approximately the same number of compression strokes.

Compression Test - Test Results

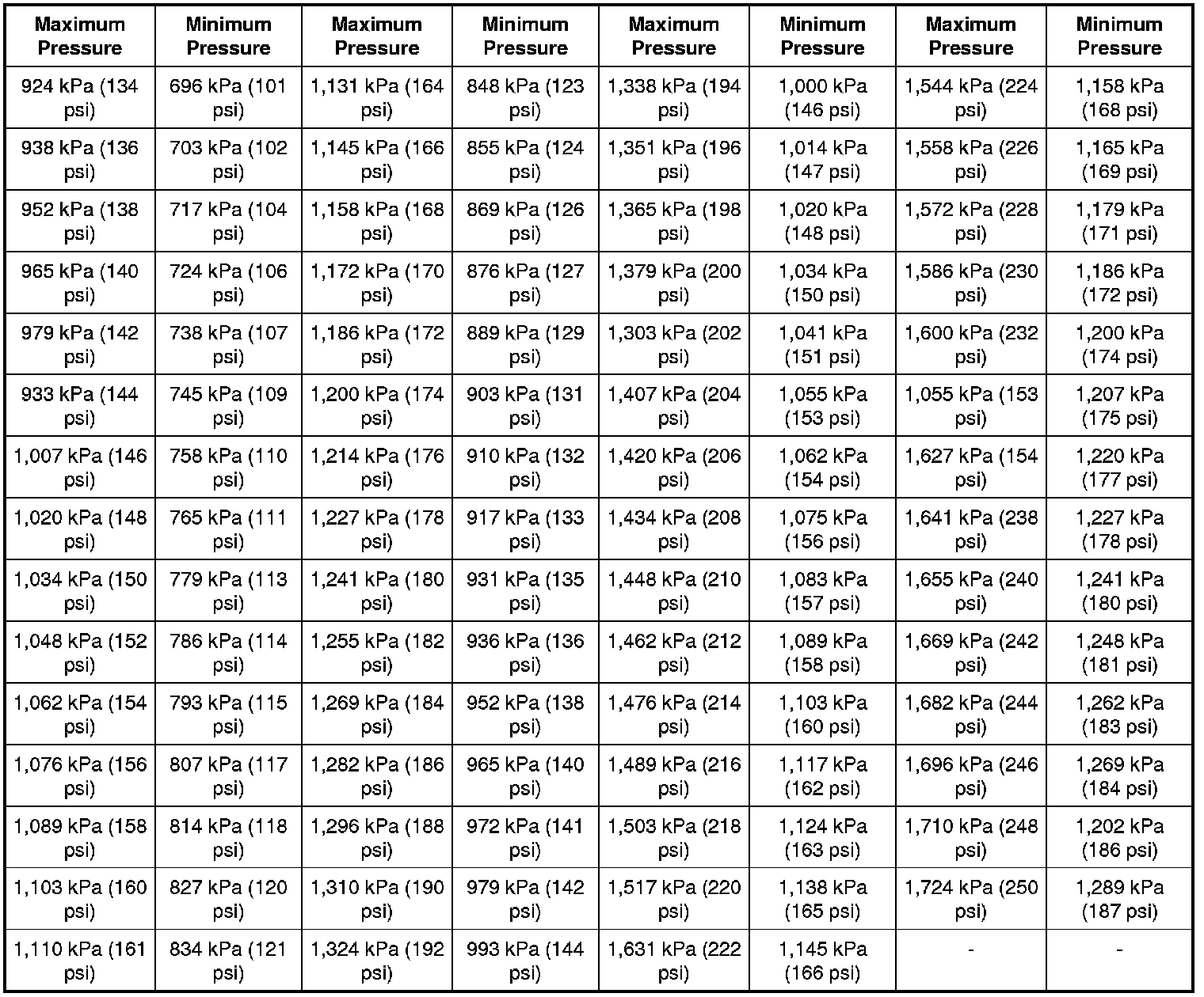
The indicated compression pressures are considered within specification if the lowest reading cylinder is at least 75% of the highest reading. Refer to the Compression Pressure Limit Chart.

Compression Pressure Limit Chart





If one or more cylinders reads low, squirt approximately one tablespoon of engine oil meeting Ford specification on top of the pistons in the low-reading cylinders. Repeat the compression pressure check on these cylinders.

Compression Test - Interpreting Compression Readings

1. If compression improves considerably, piston rings are worn or damaged.

2. If compression does not improve, valves are sticking or not seating correctly.

3. If 2 adjacent cylinders indicate low compression pressures and squirting oil on each piston does not increase compression, the head gasket may be leaking between cylinders. Engine oil or coolant in cylinders could result from this condition.
Use the Compression Pressure Limit Chart when checking cylinder compression so the lowest reading is within 75% of the highest reading.