lemon-mirror:
Home >> Mazda >> 2011 >> Tribute 2WD L4-2.5L >> Repair and Diagnosis >> Powertrain Management >> Computers and Control Systems >> Engine Temperature Sensor >> Testing and Inspection

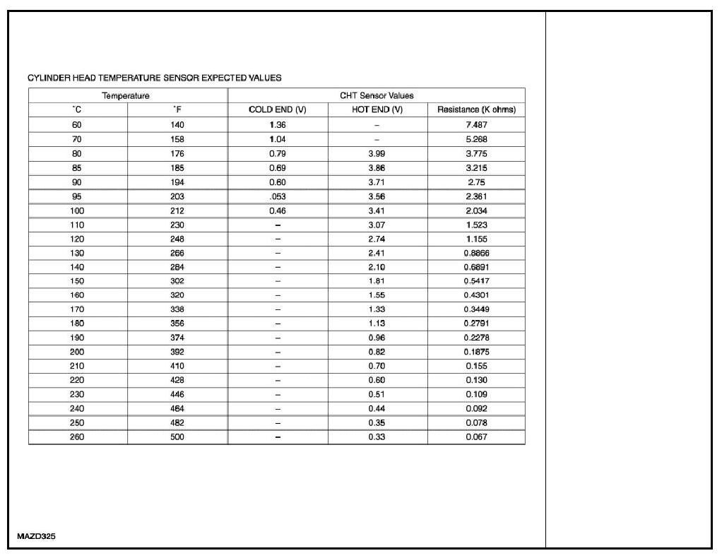
Engine Temperature Sensor: Testing and Inspection




CYLINDER HEAD TEMPERATURE (CHT) SENSOR