lemon-mirror:
Home >> Mazda >> 2010 >> CX-7 FWD L4-2.5L >> Repair and Diagnosis >> Powertrain Management >> Computers and Control Systems >> Body Control Module >> Testing and Inspection >> Programming and Relearning

Programming and Relearning




CONTROL SYSTEM PERSONALIZATION FEATURES SETTING PROCEDURE

Using M-MDS

NOTE:
- Use the IDS (laptop PC) because the PDS (Pocket PC) does not support the PERSONALIZATION FEATURES SETTING PROCEDURE.

1. Connect the M-MDS to DLC-2.






2. After the vehicle is identified, select the following items from the initial screen of the M-MDS.

- When using the IDS (laptop PC)

- Select the "Module Programming".

3. Then, select items from the screen menu in the following order.

- Select "Programmable Parameters".
- Select "Personality", "Interior lighting", "Washer/ Wiper", "Security" or "Power Door Locks".

4. Select an item name, and then select option.

Items of "Personality"





Items of "Interior lighting"





Items of "Washer/ Wiper"





Items of "Security"





Items of "Power Door Locks"

Applied VIN (assumed):
- JM3 ER2W3*A# 300001-300162
- JM3 ER2W5*A# 300001-300162
- JM3 ER2WL*A# 300001-300162
- JM3 ER2WM*A# 300001-300162
- JM3 ER4W3*A# 300001-300162
- JM3 ER4WL*A# 300001-300162





Not Using M-MDS

Applied VIN (assumed):

- JM3 ER2W3*A# 300001-300162
- JM3 ER2W5*A# 300001-300162
- JM3 ER2WL*A# 300001-300162
- JM3 ER2WM*A# 300001-300162
- JM3 ER4W3*A# 300001-300162
- JM3 ER4WL*A# 300001-300162

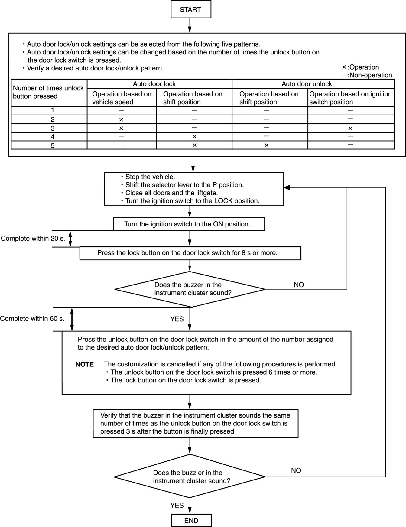
Auto door lock system





Setting procedure