lemon-mirror:
Home >> Mazda >> 2009 >> B2300 L4-2.3L >> Repair and Diagnosis >> Powertrain Management >> Computers and Control Systems >> Crankshaft Position Sensor >> Testing and Inspection

Crankshaft Position Sensor: Testing and Inspection




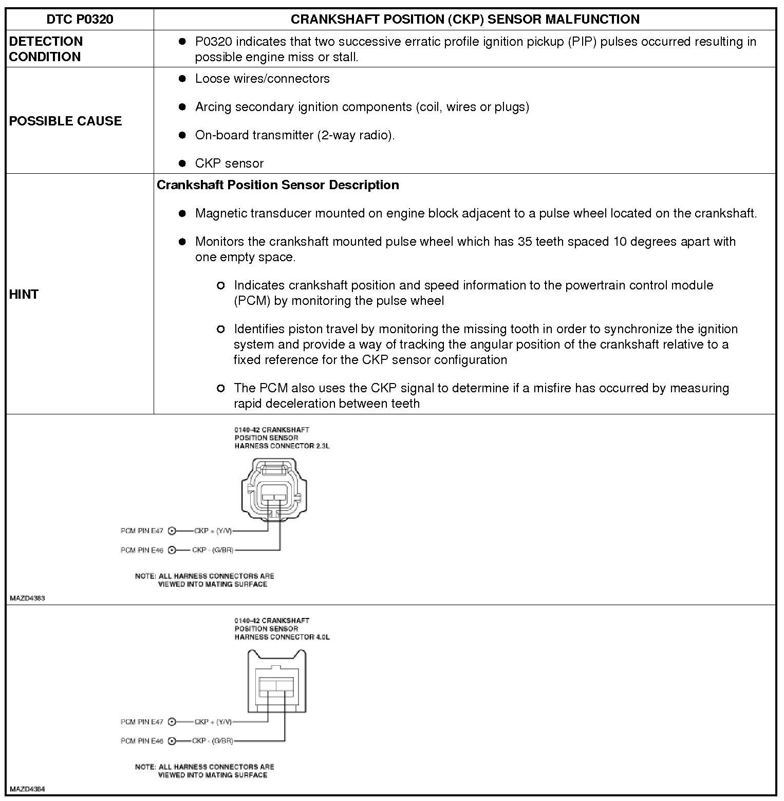
CRANKSHAFT POSITION (CKP) SENSOR MALFUNCTION

Detection Condition/Possible Cause:





Typical Diagnostic Reference Values





Step 1-Step 4:





Step 5-Step 10:





Step 11-Step 15:





Step 16-Step 21:





Step 22-Step 25: