lemon-mirror:
Home >> Mazda >> 2009 >> 3 L4-2.0L >> Repair and Diagnosis >> Engine, Cooling and Exhaust >> Engine >> Service and Repair >> Overhaul >> Balancer Unit Assembly Note

Balancer Unit Assembly Note

Balancer Unit Assembly Note
1. Confirm by visual inspection that there is no damage to the balancer unit gear and verify that the shaft turns smoothly
^ If there is any damage or malfunction, replace the balancer unit.

Caution:
^ Due to the precision interior construction of the balancer unit, it cannot be disassembled.






2. Install the SST as shown in the figure.
3. Turn the crankshaft clockwise the crankshaft is in the No. 1 cylinder TDC position (until the balance weight is attached to the SST).
4. Install the adjustment shim to the seat face of the balancer unit.





5. With the balancer unit marks at the exact top center, assemble the unit to the cylinder block.





6. Set the SST as shown, then measure the gear backlash using a dial gauge.





Note:
^ For an accurate measurement of gear backlash, insert a screwdriver into the crankshaft No. 1 balance weight area and set both the rotation and the thrust direction with the screwdriver, using a prying action, as shown in the figure.

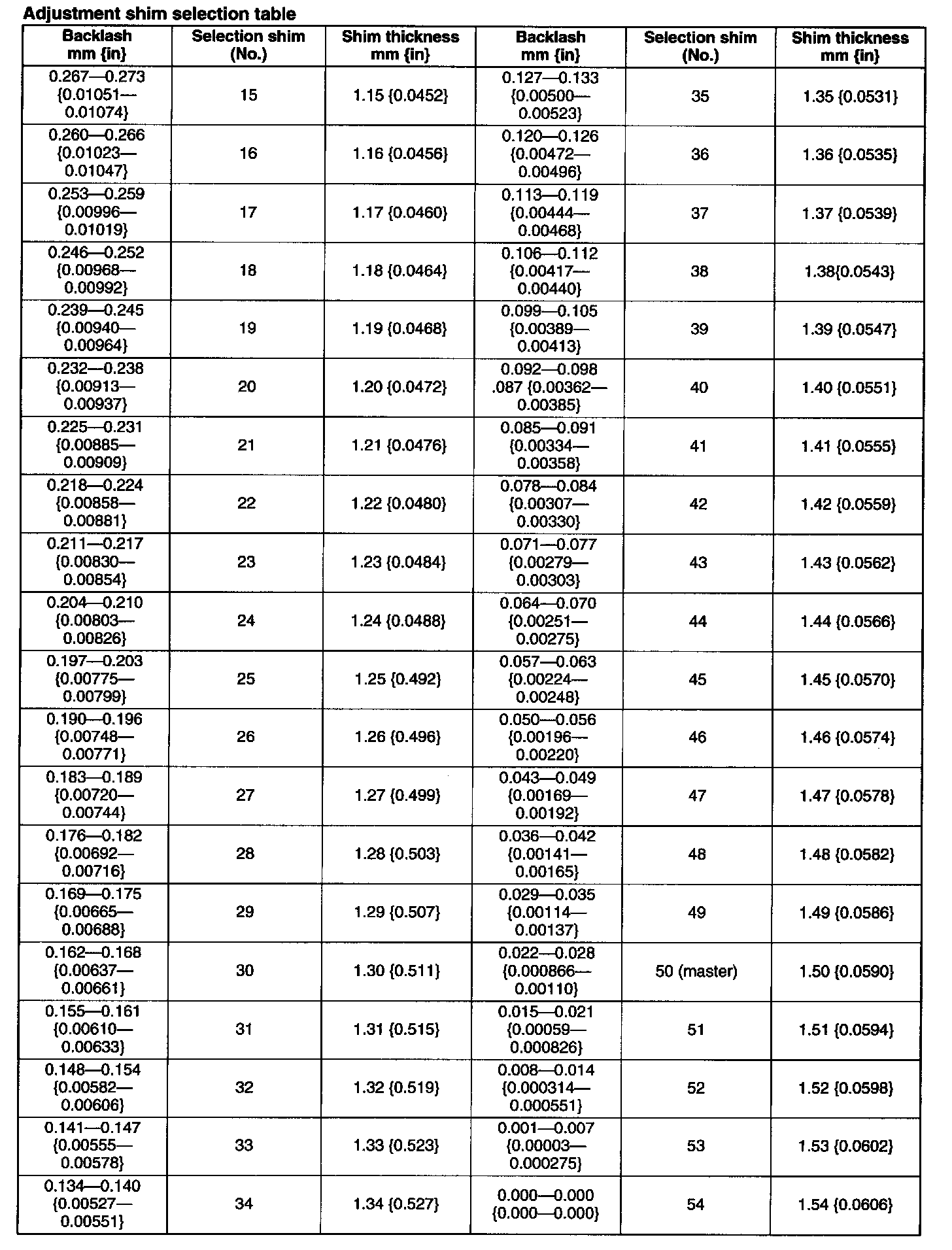
^ If the backlash exceeds the specified range, remeasure the backlash and, using the adjustment shim selection table, select the proper shim, according to the following procedure.

Caution:
^ When measuring the backlash, rotate the crankshaft one full rotation and verify that it is within the specified range at all of the following six positions: 10°, 30°, 100°, 190°, 210°, 280° ATDC.


Value range 0.005-0.101 mm (0.00019-0.0039 in)

(1) Using master adjustment shim (No.50), assemble the balancer unit to the cylinder block, then measure the backlash.
(2) Select the proper adjustment shim according to the measured value.
(3) Install the selected adjustment shim to the balancer unit, then assemble the balancer unit to the cylinder block.

Adjustment shim selection table

Adjustment Shim Selection Table: