lemon-mirror:
Home >> Mazda >> 2006 >> 5 L4-2.3L >> Repair and Diagnosis >> Powertrain Management >> Computers and Control Systems >> Information Bus >> Testing and Inspection >> Flowchart

Flowchart

Step 1-Step 2:



Step 3-Step 6:



Step 7-Step 10:



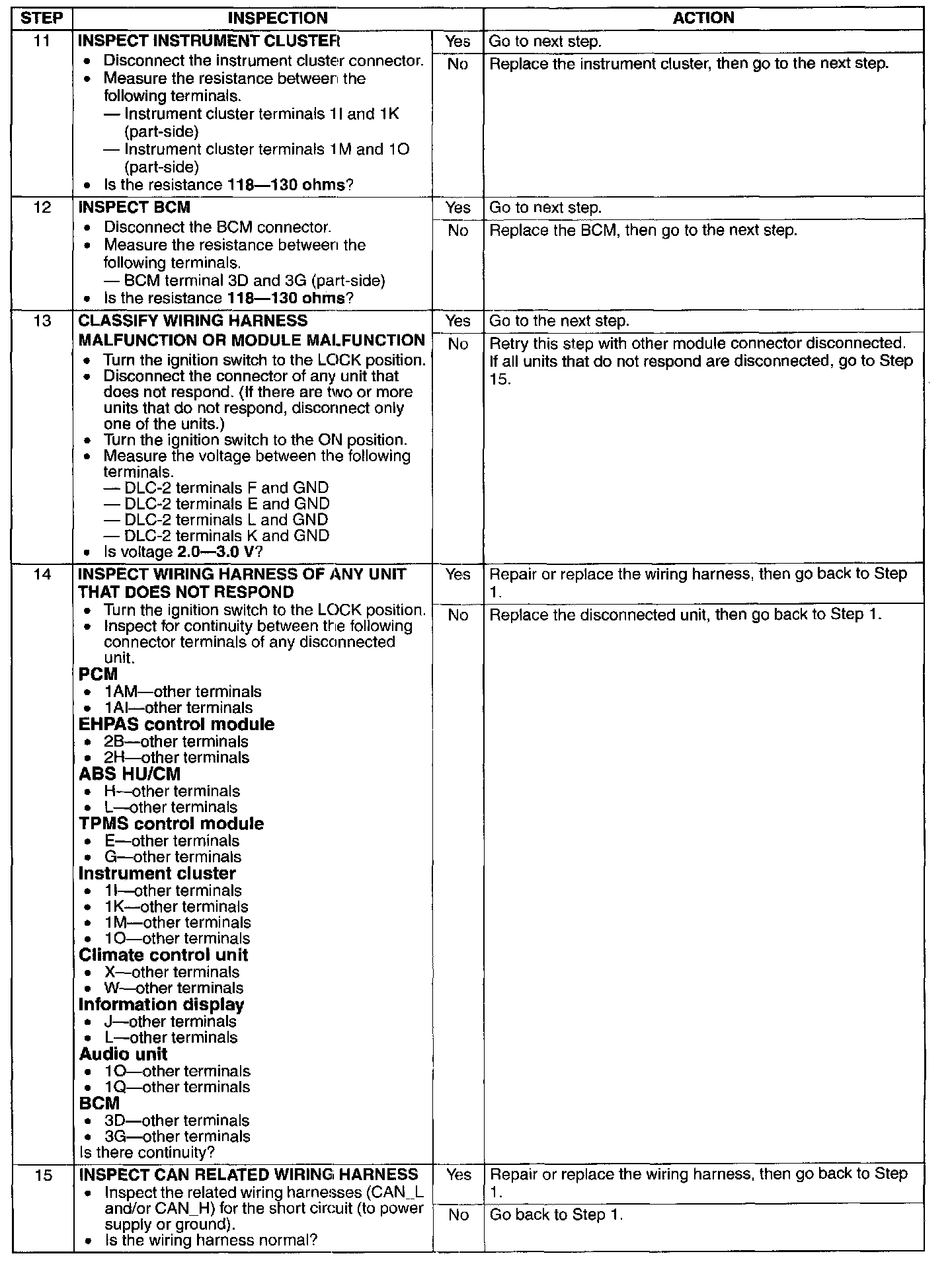
Step 11-Step 15: