lemon-mirror:
Home >> Mazda >> 2005 >> MPV V6-3.0L DOHC >> Repair and Diagnosis >> Body and Frame >> Locks >> Keyless Entry >> Keyless Entry Module >> Testing and Inspection >> Programming and Relearning

Programming and Relearning

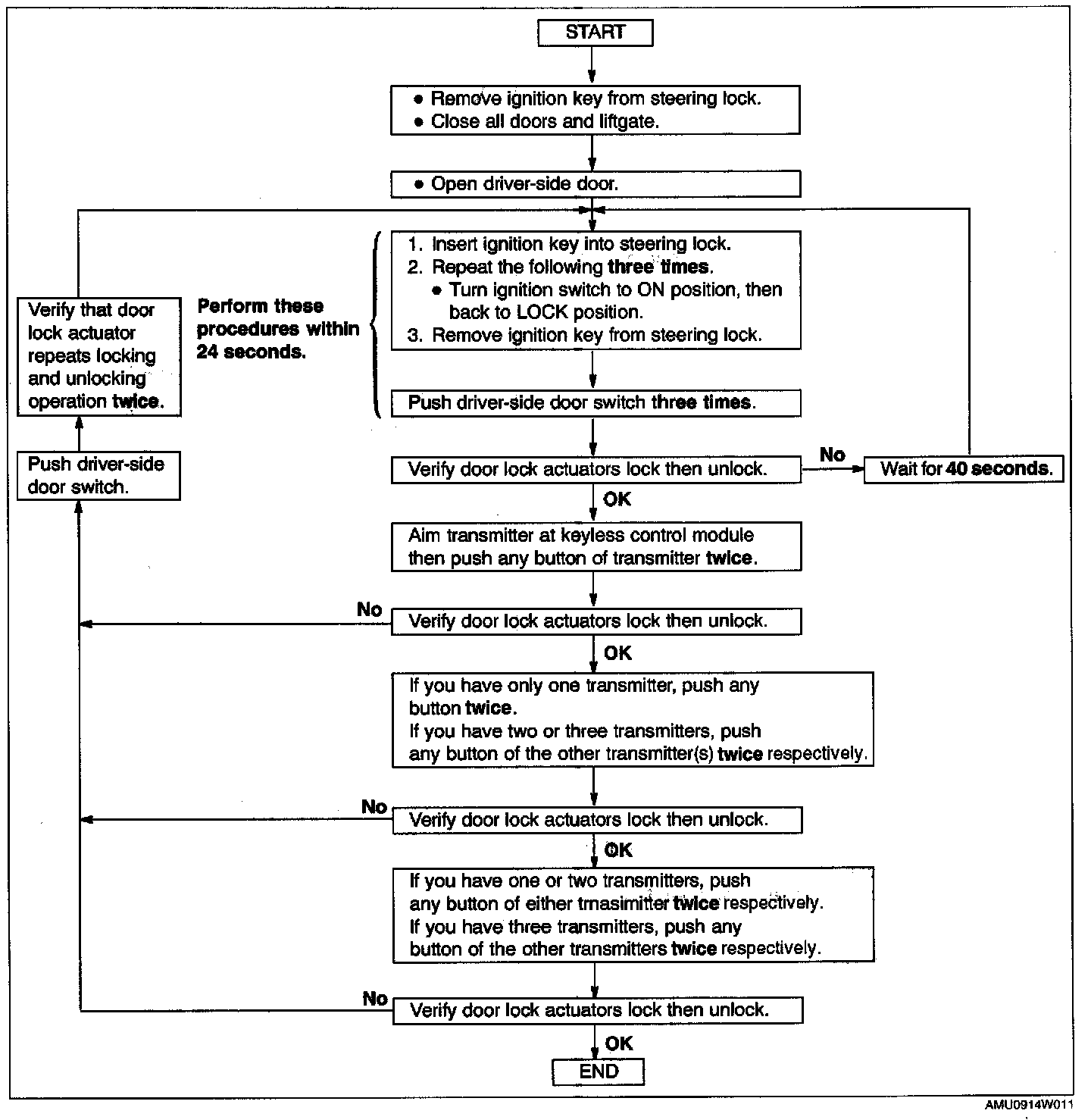
KEYLESS CONTROL MODULE ID CODE CHANGE




- When programming the ID code into a keyless control module, verify that other transmitters are not being operated in the vicinity.
- Program the ID code as indicated in the procedure given.