lemon-mirror:
Home >> Mazda >> 2005 >> 6 L4-2.3L >> Repair and Diagnosis >> Powertrain Management >> Computers and Control Systems >> Information Bus >> Testing and Inspection >> Flow of Diagnosis >> Flowchart

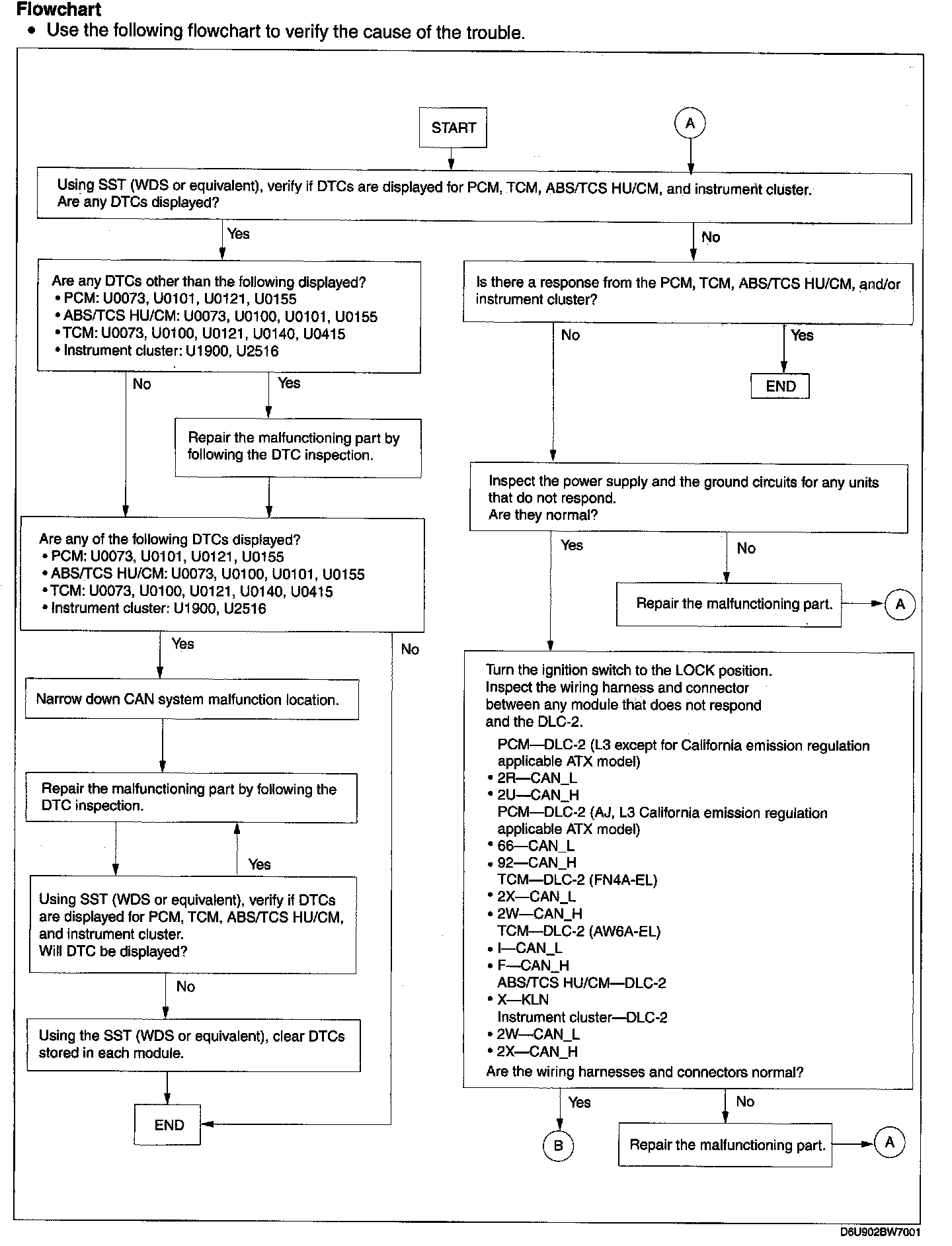
Flowchart

Flowchart Part 1:



Flowchart Part 2: