lemon-mirror:
Home >> Mazda >> 2004 >> B3000 V6-3.0L OHV >> Repair and Diagnosis >> Powertrain Management >> Computers and Control Systems >> Relays and Modules - Computers and Control Systems >> Engine Control Module >> Diagrams >> Connector Views

Connector Views







3.0L (M/T) Terminal Voltage (Reference)

NOTE: All values shown may vary 20% depending on operating conditions and other factors. RPM values are axle and tire dependent.







Sensor/Inputs







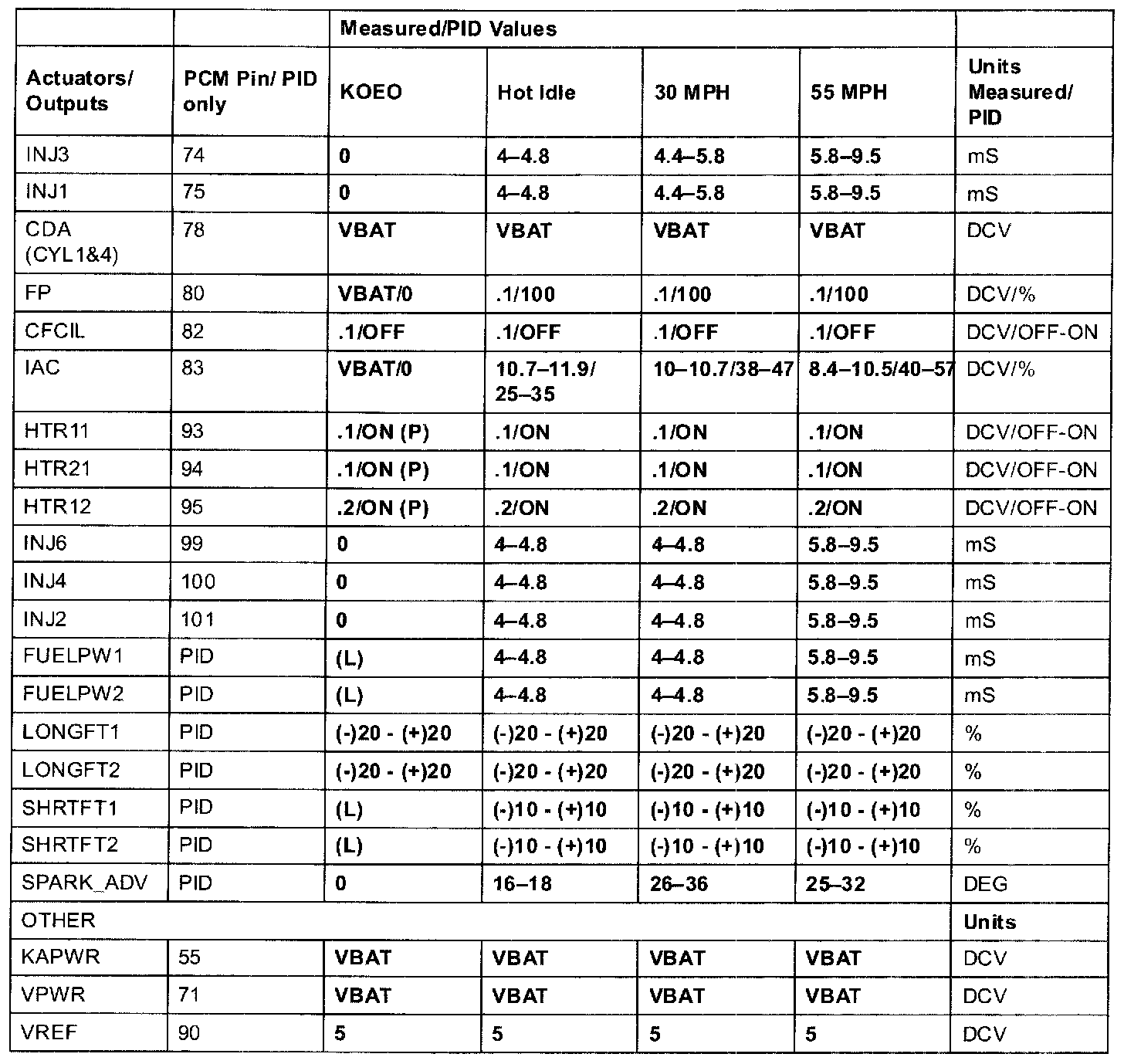
Actuators/Outputs







GENERIC OBD II PID VALUES

3.0L (A/T) Terminal Voltage (Reference)

NOTE: All values shown may vary 20% depending on operating conditions and other factors. RPM values are axle and tire dependent.







Sensor/Inputs







Actuators/Outputs




GENERIC OBD II PID VALUES