lemon-mirror:
Home >> Mazda >> 2003 >> B2300 2WD L4-2.3L VIN D >> Repair and Diagnosis >> Powertrain Management >> Computers and Control Systems >> Testing and Inspection >> Scan Tool Testing and Procedures >> Normal Scan Data Values

Normal Scan Data Values

Using the SST (WDS or equivalent tester)

1. In the passenger compartment connect the SST to the data link connector.

CAUTION: The "PID/DATA MONITOR AND RECORD" function is to monitor the the calculation value of the input/output signals in the PCM. Deviation in the value does not always indicate malfunction in the related devices. For inspection of the input/output signals other than in the link monitor table, check voltage at the applicable PCM terminal by using the SST (104 Pin Breakout Box).

2. Carry out inspection refering to PID/DATA MONITOR table.
3. If normal output signal cannot be detected when all input signals are normal replace the PCM. See POWERTRAIN CONTROL MODULE (PCM) REMOVAL/INSTALLATION in this section.

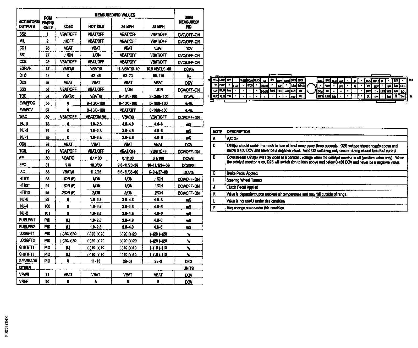
PID/Data Monitor Reference Value (2.3L A/T):




PID/Data Monitor Reference Value (2.3L M/T):




PID/Data Monitor Reference Value (3.0L Flexible Fuel A/T) - Part 1:




PID/Data Monitor Reference Value (3.0L Flexible Fuel A/T) - Part 2:




PID/Data Monitor Reference Value (3.0L Flexible Fuel M/T):




PID/Data Monitor Reference Value (3.0L Gasoline A/T) - Part 1:




PID/Data Monitor Reference Value (3.0L Gasoline A/T) - Part 2:




PID/Data Monitor Reference Value (3.0L Gasoline M/T):




PID/Data Monitor Reference Value (4.0L A/T):




PID/Data Monitor Reference Value (4.0L M/T):




PID/Data Monitor Reference Value (2.3L A/T)

Freeze Frame Charts:




Freeze Frame Charts