lemon-mirror:
Home >> Mazda >> 2002 >> MPV V6-3.0L DOHC >> Repair and Diagnosis >> Body and Frame >> Locks >> Keyless Entry >> Keyless Entry Module >> Testing and Inspection >> Programming and Relearning

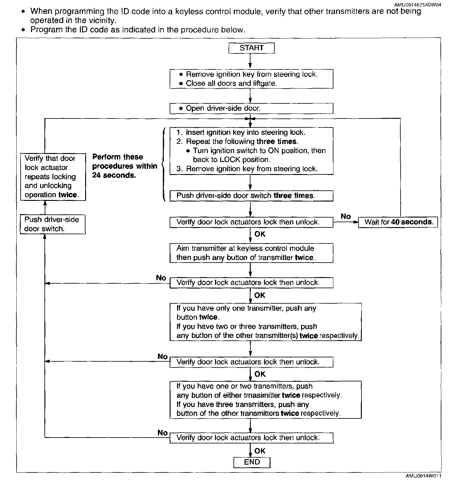
Programming and Relearning

Keyless Control Module ID Code Change: