lemon-mirror:
Home >> Lincoln >> 2008 >> MKX AWD V6-3.5L >> Repair and Diagnosis >> Powertrain Management >> Tune-up and Engine Performance Checks >> Compression Check >> Specifications

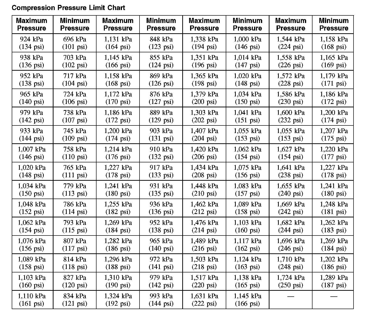
Compression Check: Specifications

AllData Editors Note - Ford does not provide a cranking pressure specification, only an acceptable range.

Compression Test - Test Results
The indicated compression pressures are considered within specification if the lowest reading cylinder is at least 75% of the highest reading.

Compression Pressure Limit Chart: