lemon-mirror:
Home >> Lincoln >> 2001 >> LS V8-3.9L VIN A >> Repair and Diagnosis >> Powertrain Management >> Computers and Control Systems >> Testing and Inspection >> Scan Tool Testing and Procedures >> Normal Scan Data Values - Includes PIDs >> Typical Diagnostic Reference Values >> Typical Diagnostic Reference Values Notes

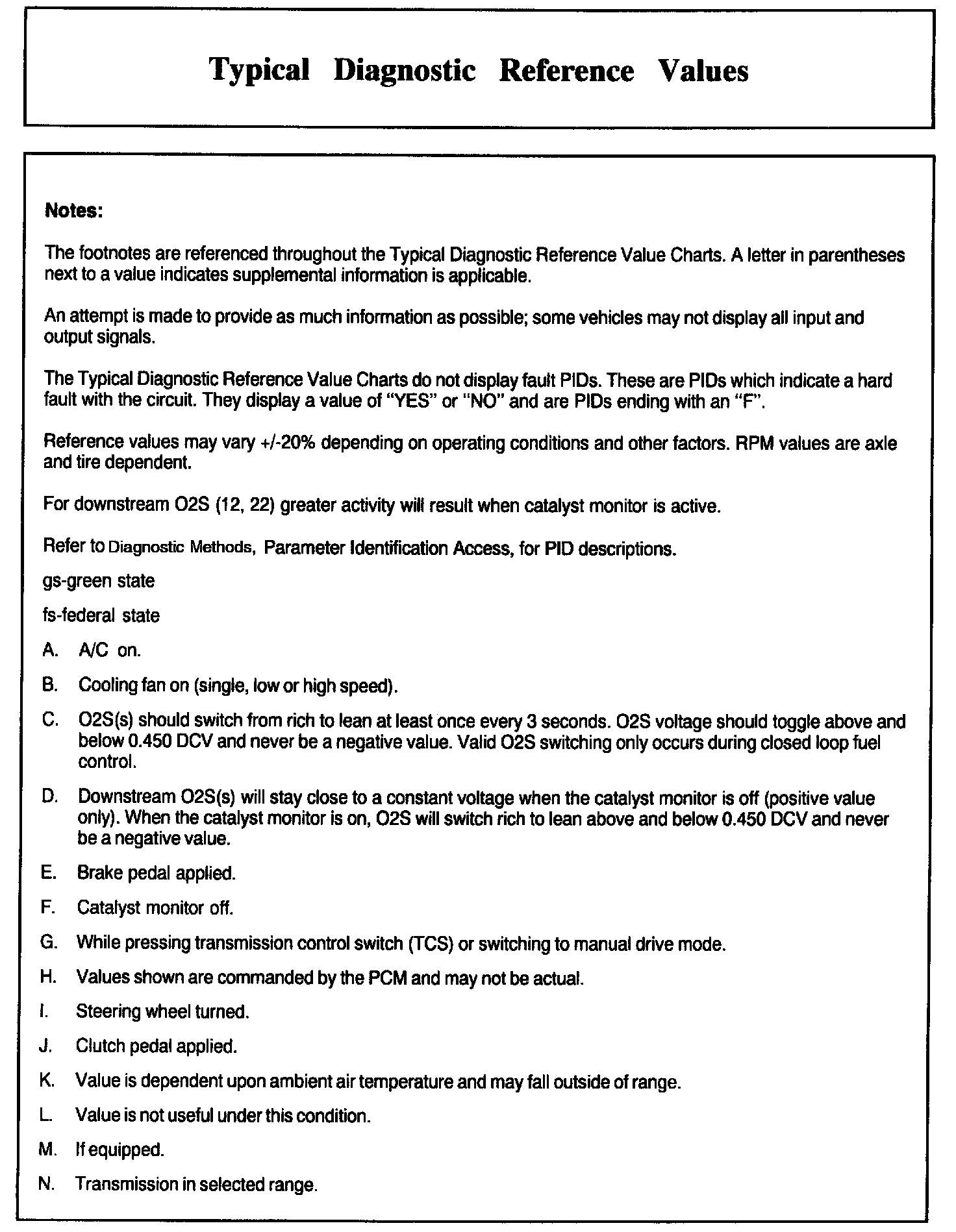
Typical Diagnostic Reference Values Notes

Typical Diagnostic Reference Values, Part 1:



Typical Diagnostic Reference Values, Part 2: