lemon-mirror:
Home >> Lexus >> 2000 >> LS 400 V8-4.0L (1UZ-FE) >> Repair and Diagnosis >> Body and Frame >> Locks >> Keyless Entry >> Keyless Entry Transmitter >> Service and Repair

Keyless Entry Transmitter: Service and Repair




1. REPLACE TRANSMITTER (LITHIUM) BATTERY

NOTE: Special caution should be taken for handling each component as they are precision electronic components.

a. Using a screwdriver, remove the screw and cover.

NOTE: Do not pry out the cover forcibly.

HINT: Push the cover with a finger as shown in the illustration, so that there becomes clearance, then pry out the cover from that clearance.

b. Remove the transmitter.




c. Using a screwdriver, remove the 2 screws and cover.
d. Remove the battery (lithium battery).

NOTE:
- Do not push the terminals with a finger.
- If prying up the battery (lithium battery) forcibly to remove, the terminals are deformed.




e. Install a battery (lithium battery) as shown in the illustration.

NOTE: Face the battery upward. Take care not to deform the terminals.

f. Check that O-ring is not distorted or slipped oft, and install the cover.
g. Using a screwdriver, tighten the 2 screws.

NOTE: When the shrews are tightened loosely, it might cause faulty contact of battery (lithium battery) and terminals.

h. Assemble the transmitter to the key plate and the cover.
i. Using a screwdriver, tighten the screw.

2. REPLACE DOOR CONTROL RECEIVER AND TRANSMITTER

NOTE: When replacing the door control receiver and transmitter, registration of recognition code is necessary because they are provided as a single components.

a. Select the operation mode to perform from the following operation modes.
- Add mode
- Rewrite mode
- Prohibition mode
- Confirmation mode

HINT:
- The add mode is used to retain codes already registered while you register new recognition codes. This mode is used when adding a transmitter. However, if the number of registered codes exceeds 4 codes, previously registered codes are correspondingly erased in order, starting from the first registered code.
- The rewrite mode is used to erase all previously registered codes and register only new recognition codes.
- The prohibition mode is used to erase all registered codes and cancels the wireless door lock function. Use this mode when the transmitter is lost.
- The confirmation mode is for confirming few many recognition codes are already registered before you register additional recognition codes.

Part 1 Of 3:




Part 2 Of 3:




Part 3 Of 3:




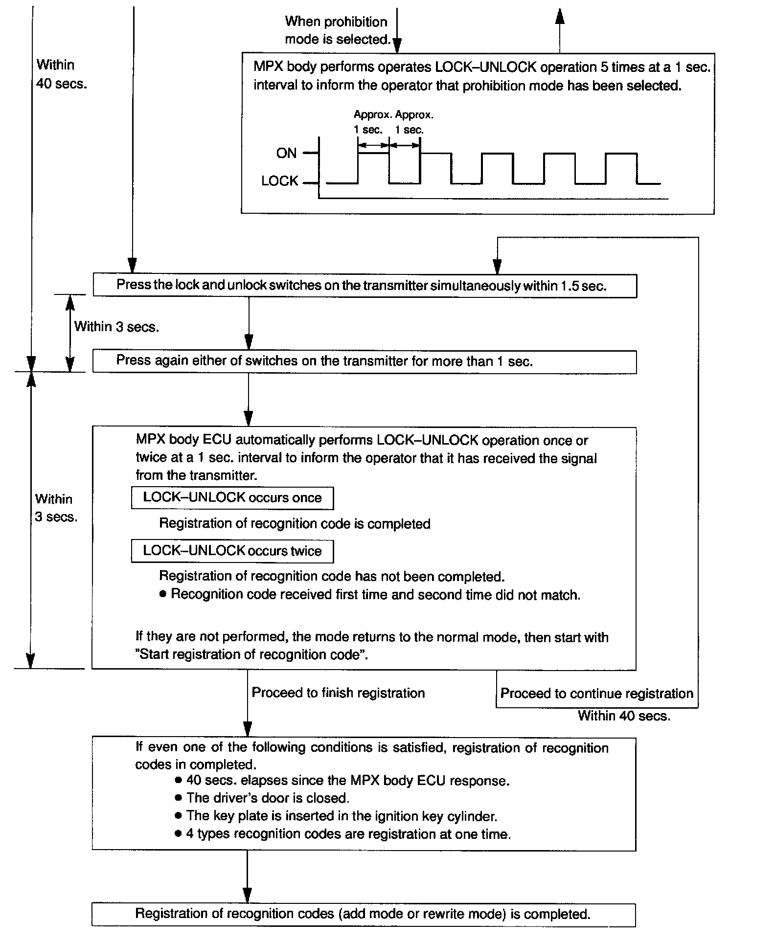
b. Follow the chart on the following page to register the transmitter recognition code at the wireless door lock control receiver.

HINT:
- When procedure is out of the specified, the operation returns to normal operation.
- Maximum 4 recognition codes can be registered.