lemon-mirror:
Home >> Land Rover >> 2011 >> LR2 (LF) L6-3.2L >> Repair and Diagnosis >> Specifications >> Mechanical Specifications >> Alignment >> Alignment\Ride Height

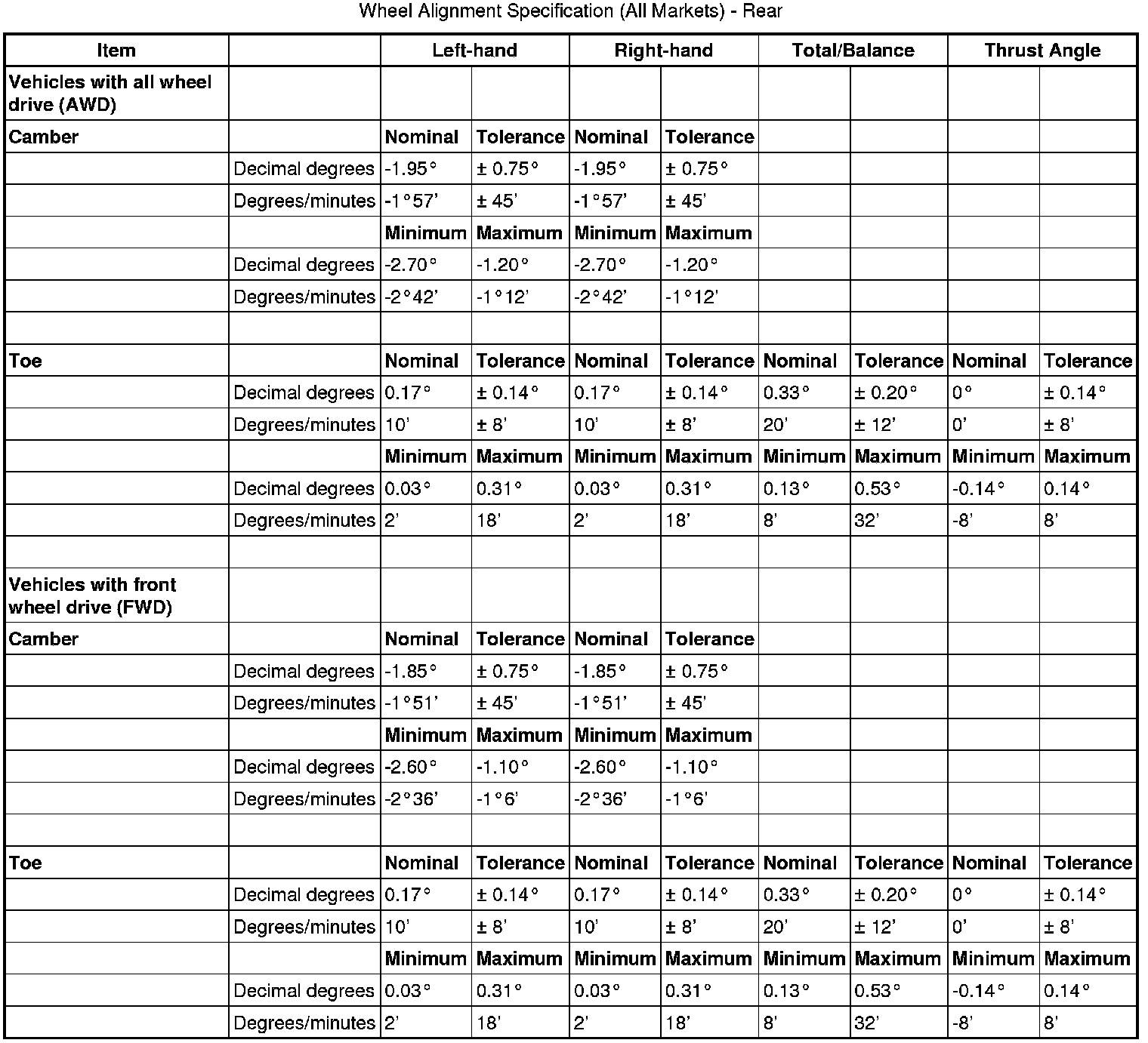
Alignment\Ride Height













NOTE:
All figures are with vehicle at 'Showroom' ride height - full fluids, full tank of fuel, no occupants/luggage, tires inflated to normal pressures





NOTE:
All figures are with vehicle at 'curbside' (curbside) ride height - full fluids, full tank of fuel, no occupants/luggage, tires inflated to normal pressures

NOTE:
Ride height is measured vertically from wheel center to underside of wheel arch