lemon-mirror:
Home >> Isuzu >> 2008 >> Ascender 2WD L6-4.2L >> Repair and Diagnosis >> Powertrain Management >> Computers and Control Systems >> Specifications >> Electrical Specifications

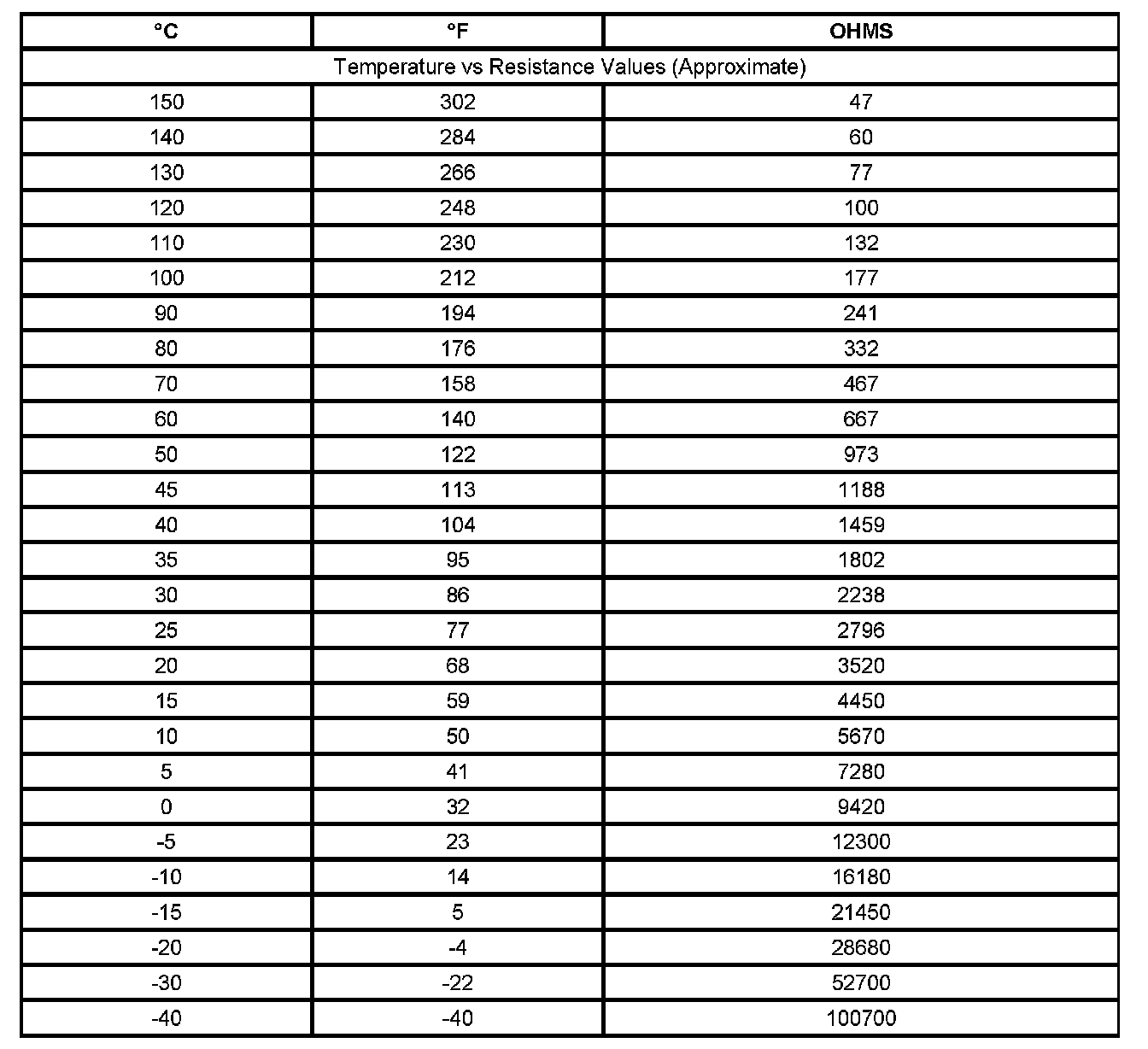
Electrical Specifications



Temperature Versus Resistance