lemon-mirror:
Home >> Hyundai >> 2007 >> Azera V6-3.8L >> Repair and Diagnosis >> Powertrain Management >> Ignition System >> Technical Service Bulletins >> Antitheft - Key Cutting/Immobilizer Programming >> Programming Sequence Flowchart

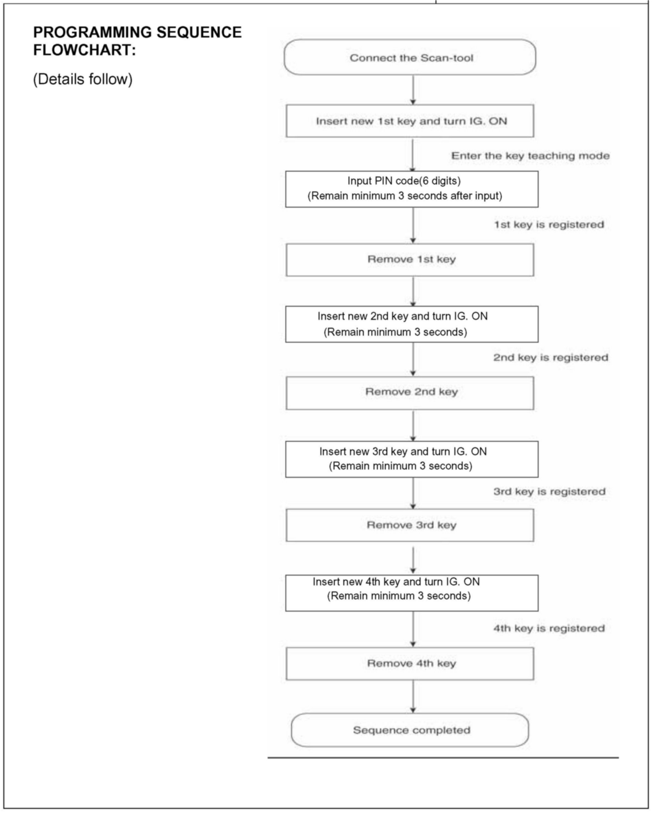
Programming Sequence Flowchart