lemon-mirror:
Home >> Hyundai >> 2005 >> Tucson L4-2.0L >> Repair and Diagnosis >> Maintenance >> Alignment >> Testing and Inspection >> Lead/Pull Correction Chart

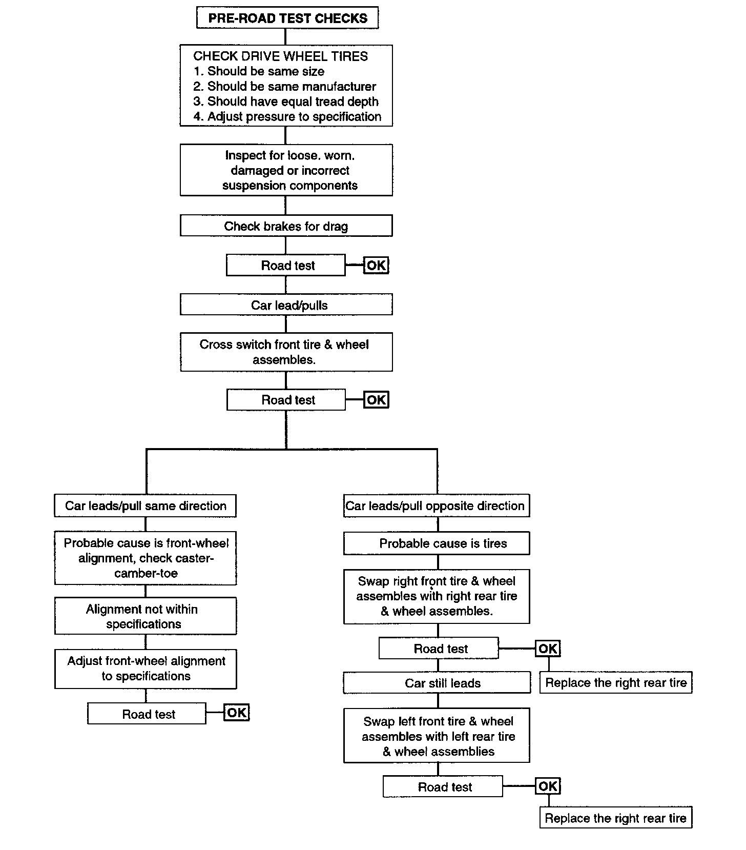
Lead/Pull Correction Chart