lemon-mirror:
Home >> Hyundai >> 2005 >> Tiburon L4-2.0L >> Repair and Diagnosis >> Maintenance >> Alignment >> Service and Repair >> Checking Steering Angle

Checking Steering Angle

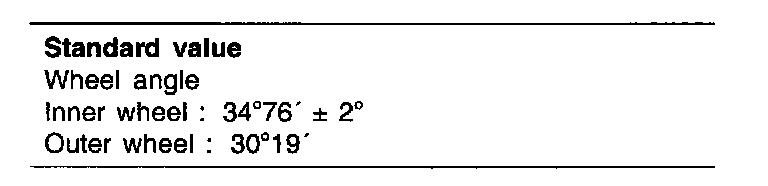
CHECKING STEERING ANGLE








1. Place the front wheel on a turning radius gauge and measure the steering angle.
2. If the measured value is not within the standard value, adjust the toe and inspect again.