lemon-mirror:
Home >> Hyundai >> 2003 >> Tiburon L4-2.0L >> Repair and Diagnosis >> Powertrain Management >> Computers and Control Systems >> Body Control Module >> Testing and Inspection >> Component Tests and General Diagnostics >> Rear Window & Outside Mirror Defogger Function

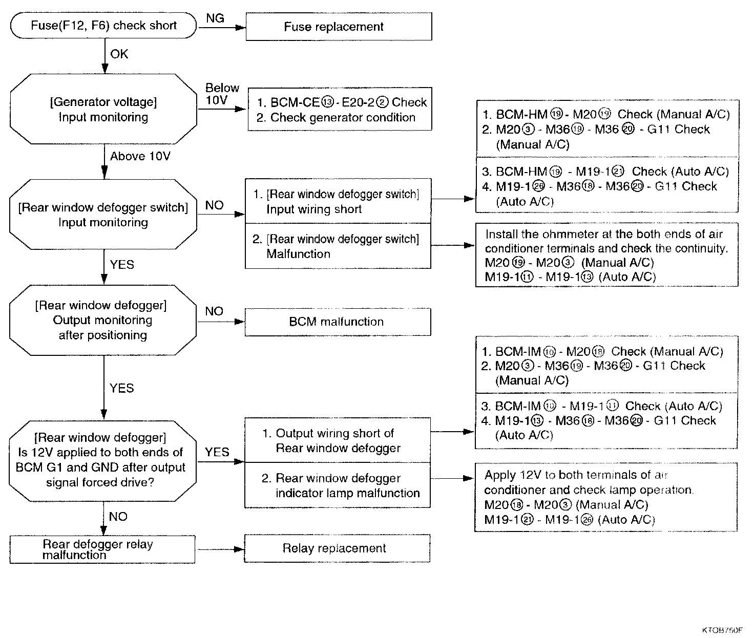
Rear Window & Outside Mirror Defogger Function

REAR WINDOW & OUTSIDE MIRROR DEFOGGER

1. Function explanation: When rear window defogger switch on while engine is running, it works.

2. Related schematic diagrams
- See the Charging System and Rear Window & Outside Mirror Defogger.

3. Input/output signal
- Fuse: F12 (30 A)
- Input: Rear defogger switch (H19), Generator L (C13)
- Output: Rear defogger output [Rear window (G1), Rear window defogger indicator lamp (I10), Outside mirror defogger (F19)]

4. Related Hi-scan(pro) failure diagnosis







1. Input/output monitoring
1. Select "01.POWER" and press [ENTER].
Then, the following screen will be displayed.

Check BCM input condition against generator voltage.







2. Select "07.ETC" and press [ENTER].
Then the following screen will be displayed.

Check BCM input/output condition against rear window defogger switch and rear window defogger.

2. Actuator inspection







1. Select "01.INPUT ACTUATION" and press [ENTER].

Perform forced drive against rear window defogger switch.







2. Select "02.0UTPUT ACTUATION" and press [ENTER].

Perform forced drive against rear window defogger.

5. Expected failure symptoms
1. Rear window defogger indicator lamp does not work.
2. Rear window defogger does not work.
3. Left side outside mirror defogger does not work.
4. Right outside mirror defogger does not work.

6. Actions by the failure symptoms




1. Rear window defogger does not work.




2. Rear window defogger does not work.




3. Left outside mirror defogger does not work.




4. Right outside mirror defogger does not work.