lemon-mirror:
Home >> Hyundai >> 1998 >> Sonata L4-2.0L >> Repair and Diagnosis >> Powertrain Management >> Computers and Control Systems >> Air Flow Meter/Sensor >> Testing and Inspection >> Sensor Testing

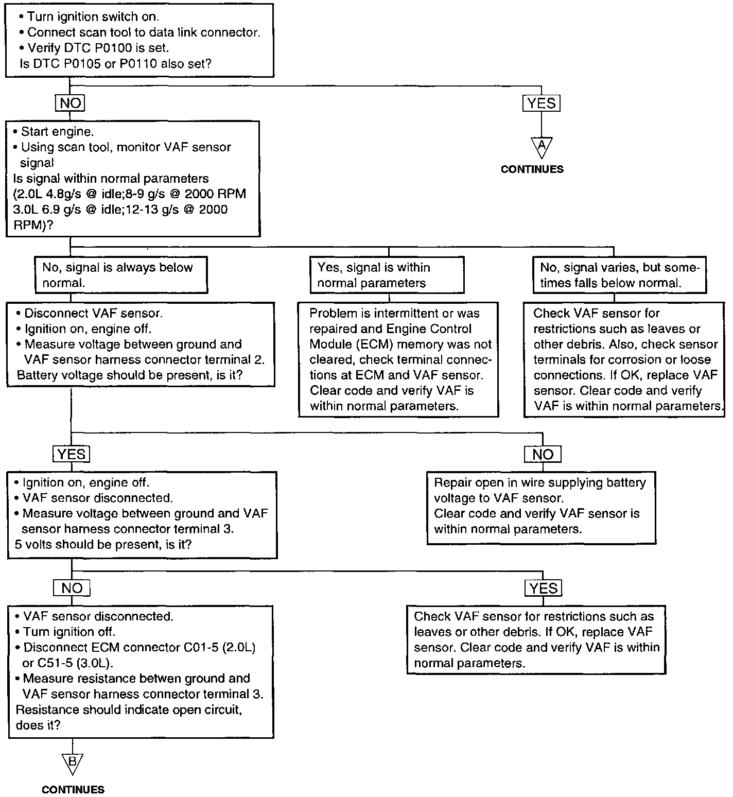
Sensor Testing




DTC - P0100




Detection Condition
The Volume Air Flow (VAF) sensor is located in the air cleaner. The sensor measures the volume of air passing though the air intake and generates a pulsed signal. The Engine Control Module (ECM) counts the pulses generated by the sensor and uses the signal to set fuel injector base pulse width.




Part 1 of 2




Part 2 of 2