lemon-mirror:
Home >> Hummer >> 2007 >> H2 V8-6.0L >> Repair and Diagnosis >> Body and Frame >> Seats >> Testing and Inspection >> Scan Tool Testing and Procedures >> Scan Tool Data List >> Driver Seat Module

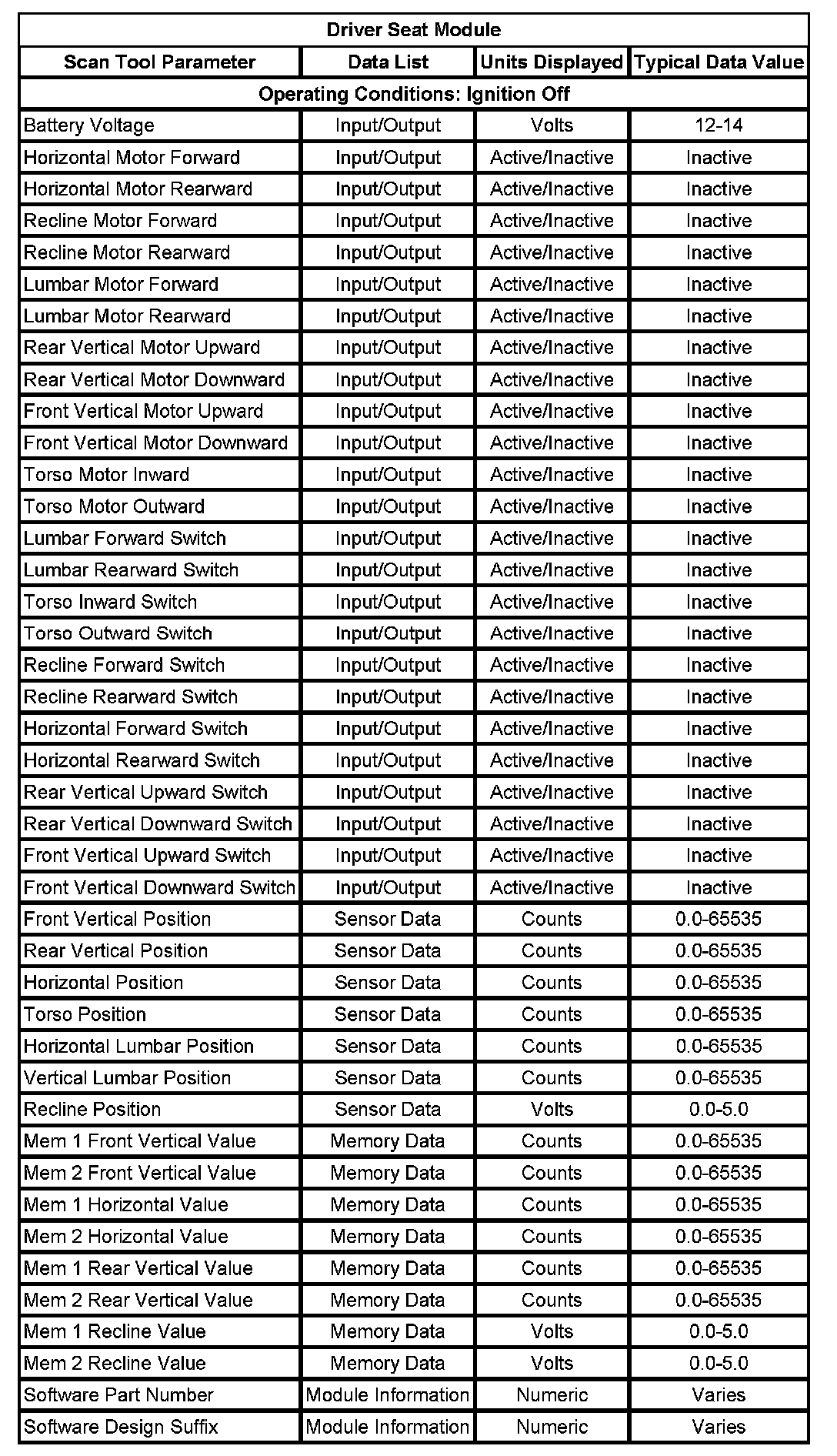
Driver Seat Module



Scan Tool Data List