lemon-mirror:
Home >> Hummer >> 2005 >> H2 V8-6.0L >> Repair and Diagnosis >> Lighting and Horns >> Testing and Inspection >> Scan Tool Testing and Procedures >> Scan Tool Data List >> Body Control Module (BCM)

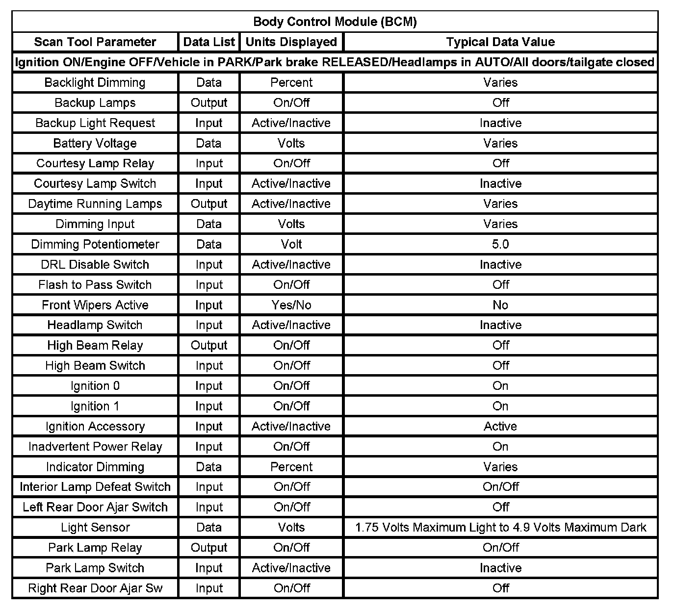
Body Control Module (BCM)

Body Control Module (BCM):