lemon-mirror:
Home >> Hummer >> 2003 >> H2 V8-6.0L >> Repair and Diagnosis >> Powertrain Management >> Ignition System >> Ignition Relay >> Testing and Inspection

Ignition Relay: Testing and Inspection

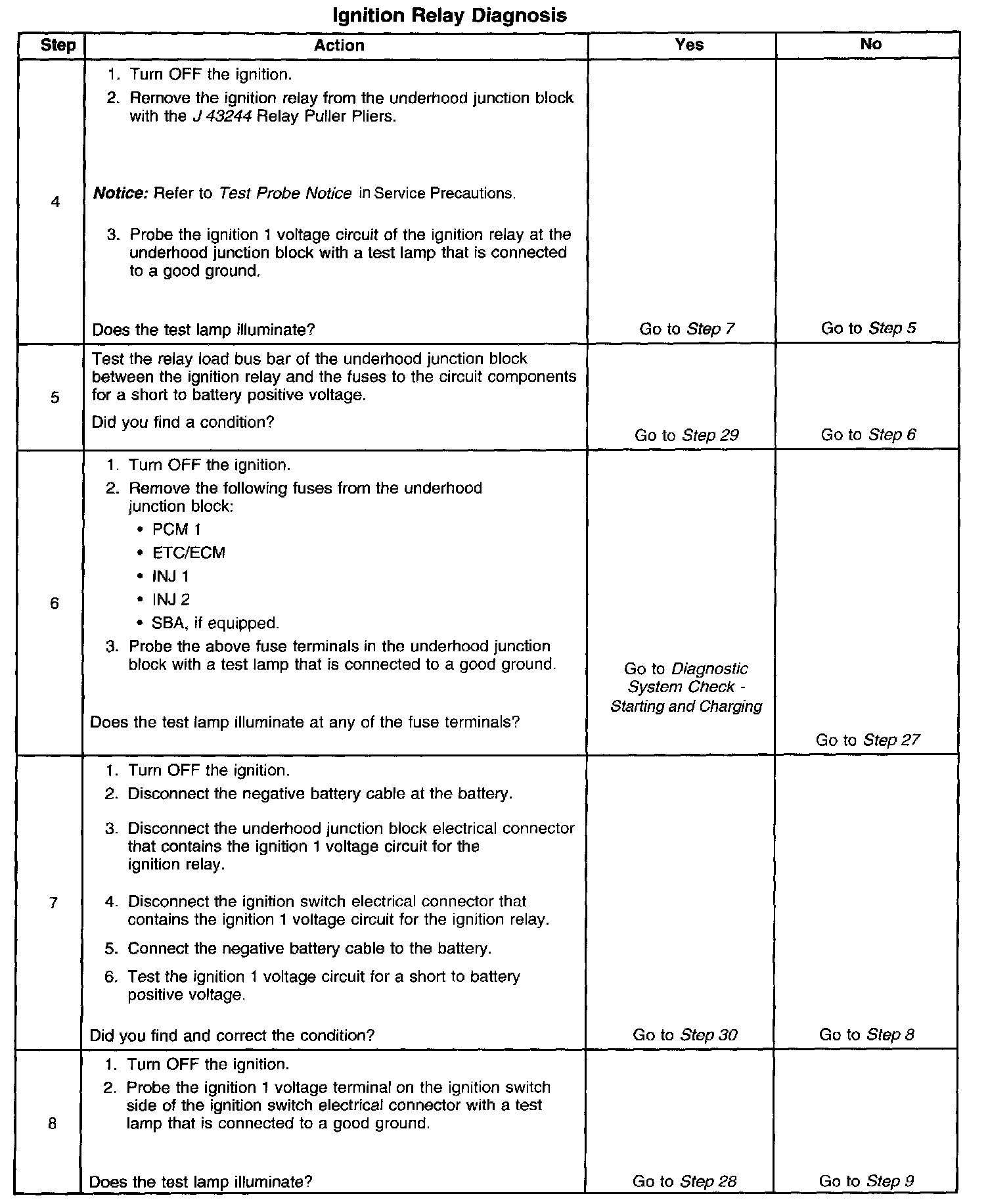
IGNITION RELAY DIAGNOSIS

CIRCUIT DESCRIPTION
The ignition relay is a normally open relay. The relay armature is held in the open position by spring tension. When the ignition switch is turned to the run or start position, current will flow through the relay coil. A wire connected to the other end of the relay coil completes the path to ground. The electromagnetic field created by the relay coil, overcomes the spring tension and moves the armature allowing the relay contacts to close. The closed relay contacts allow current to flow from the battery to the following fuses:
- PCM 1
- ETC/ECM
- INJ 1
- INJ 2
- SBA, if equipped.

When the ignition switch is turned to the OFF position, the electromagnetic field collapses. This action allows the spring tension to move the armature away from the relay contacts, which interrupts current flow to the fuses.

If the ignition relay fails to close, the engine will crank, but will not run. The class 2 communications will be available with the use of a scan tool.

The ignition relay table assumes that the vehicle battery is fully charged. Refer to Battery Inspection/Test in Starting and Charging. Component Tests and General Diagnostics

TEST DESCRIPTION

Steps 1 - 3:




Steps 4 - 8:




Steps 9 - 17:




Steps 18 - 24:




Steps 25 - 31: