lemon-mirror:
Home >> GMC >> 2013 >> Terrain FWD V6-3.6L >> Repair and Diagnosis >> Specifications >> Mechanical Specifications >> Engine >> System Specifications >> Service Limits & General Specifications

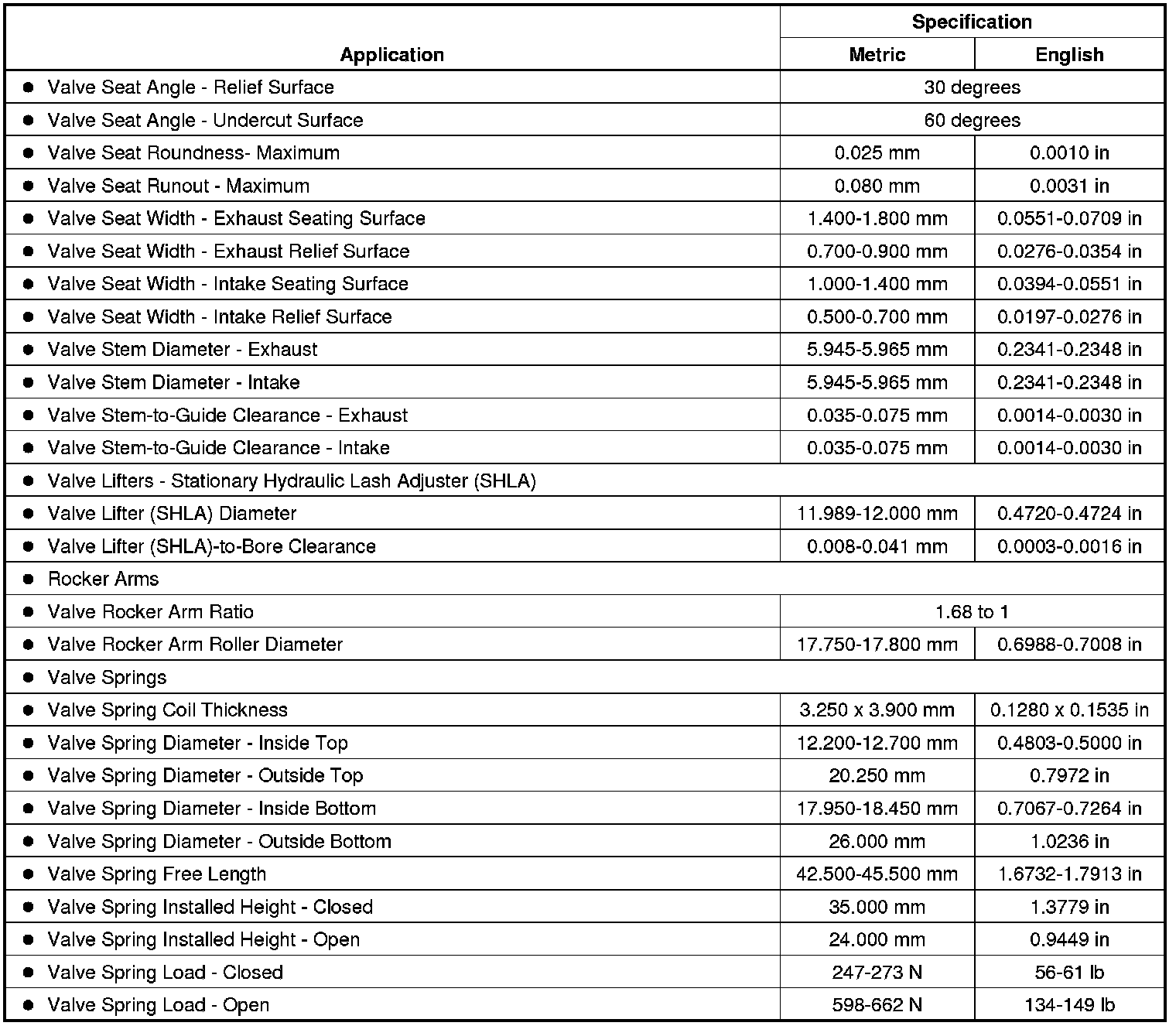
Service Limits & General Specifications




Engine Mechanical Specifications (LFX)