lemon-mirror:
Home >> GMC >> 2013 >> Terrain FWD L4-2.4L >> Repair and Diagnosis >> Specifications >> Mechanical Specifications >> Engine >> System Specifications >> Service Limits & General Specifications

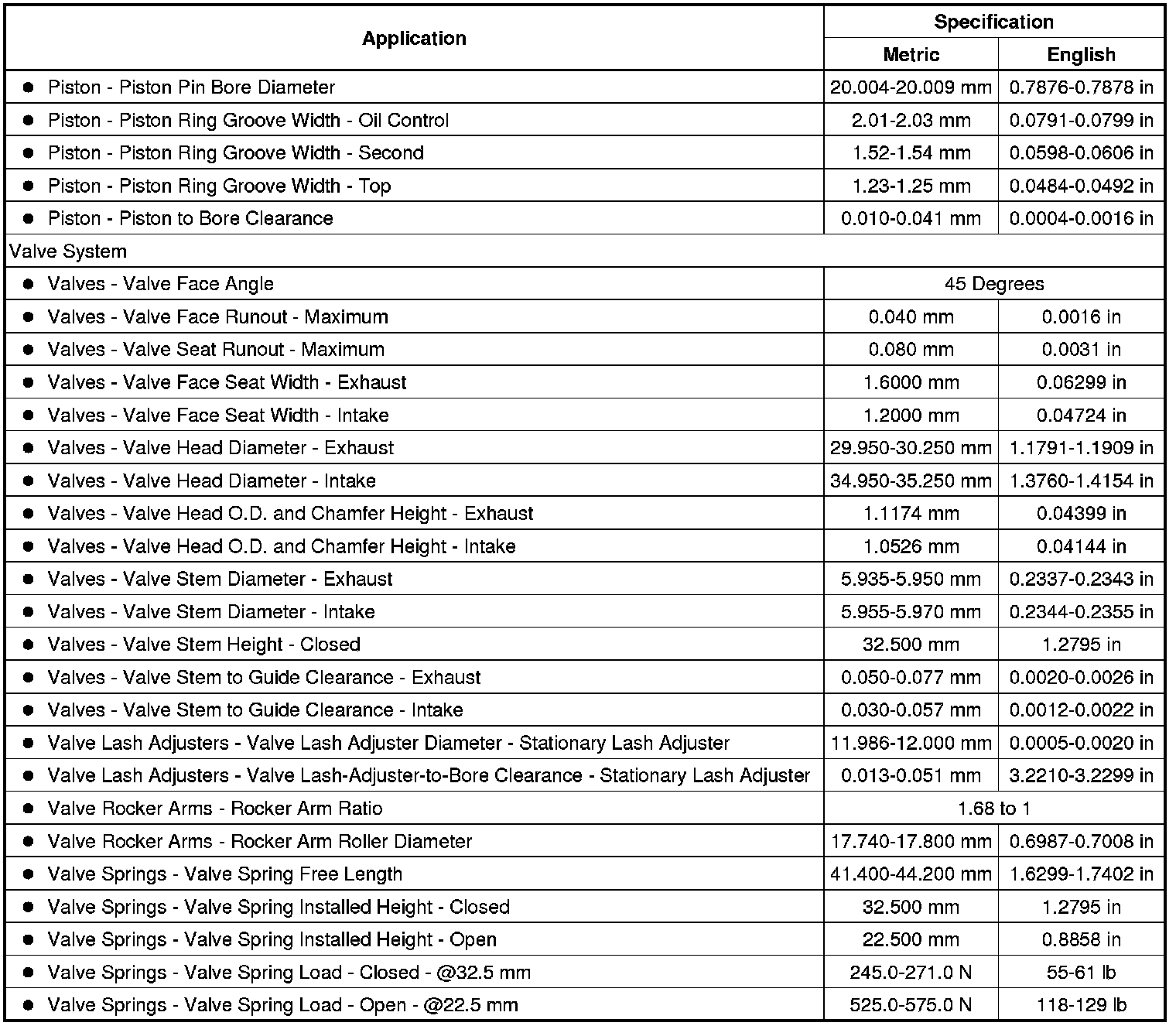
Service Limits & General Specifications




Engine Mechanical Specifications (LAF, LEA, or LUK)