lemon-mirror:
Home >> GMC >> 2012 >> Terrain FWD L4-2.4L >> Repair and Diagnosis >> Specifications >> Mechanical Specifications >> Engine >> System Specifications >> Service Limits & General Specifications

Service Limits & General Specifications




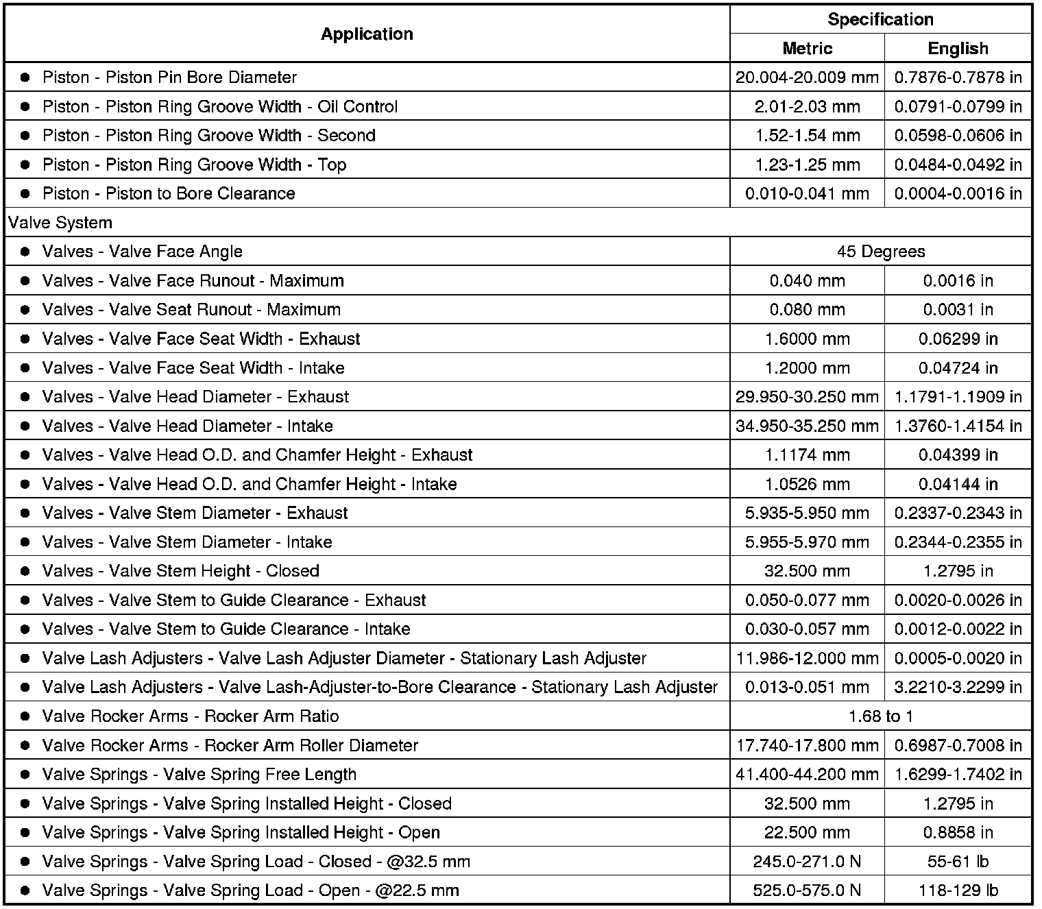
Engine Mechanical Specifications (LAF, LEA, or LUK)