lemon-mirror:
Home >> GMC >> 2008 >> Yukon 2WD V8-5.3L >> Repair and Diagnosis >> Specifications >> Electrical Specifications >> Computers and Control Systems

Computers and Control Systems



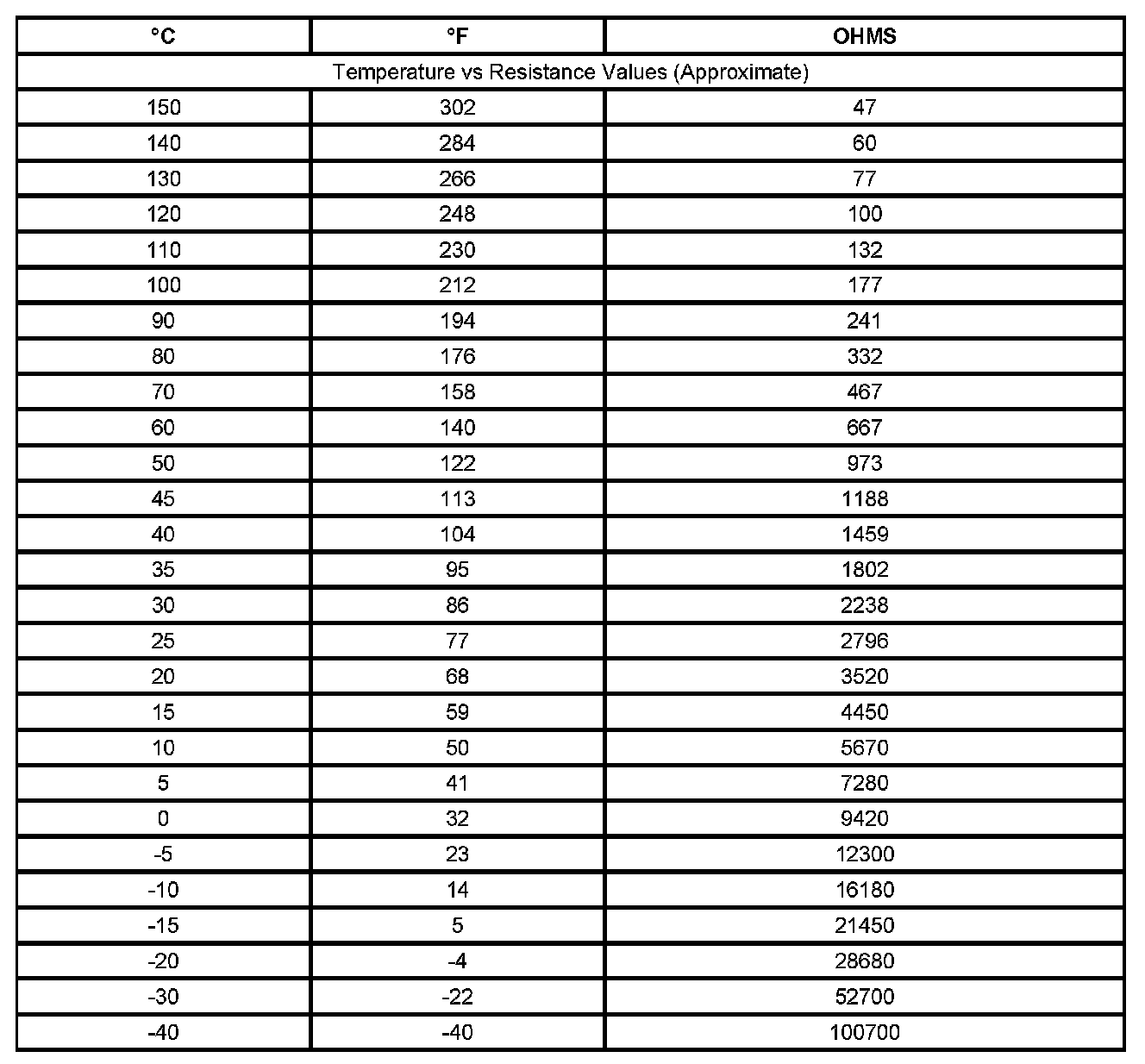
Temperature Versus Resistance