lemon-mirror:
Home >> GMC >> 2007 >> Acadia FWD V6-3.6L >> Repair and Diagnosis >> Locations >> Splice Locations

Splice Locations

J102 - J260:



J262 - J395:



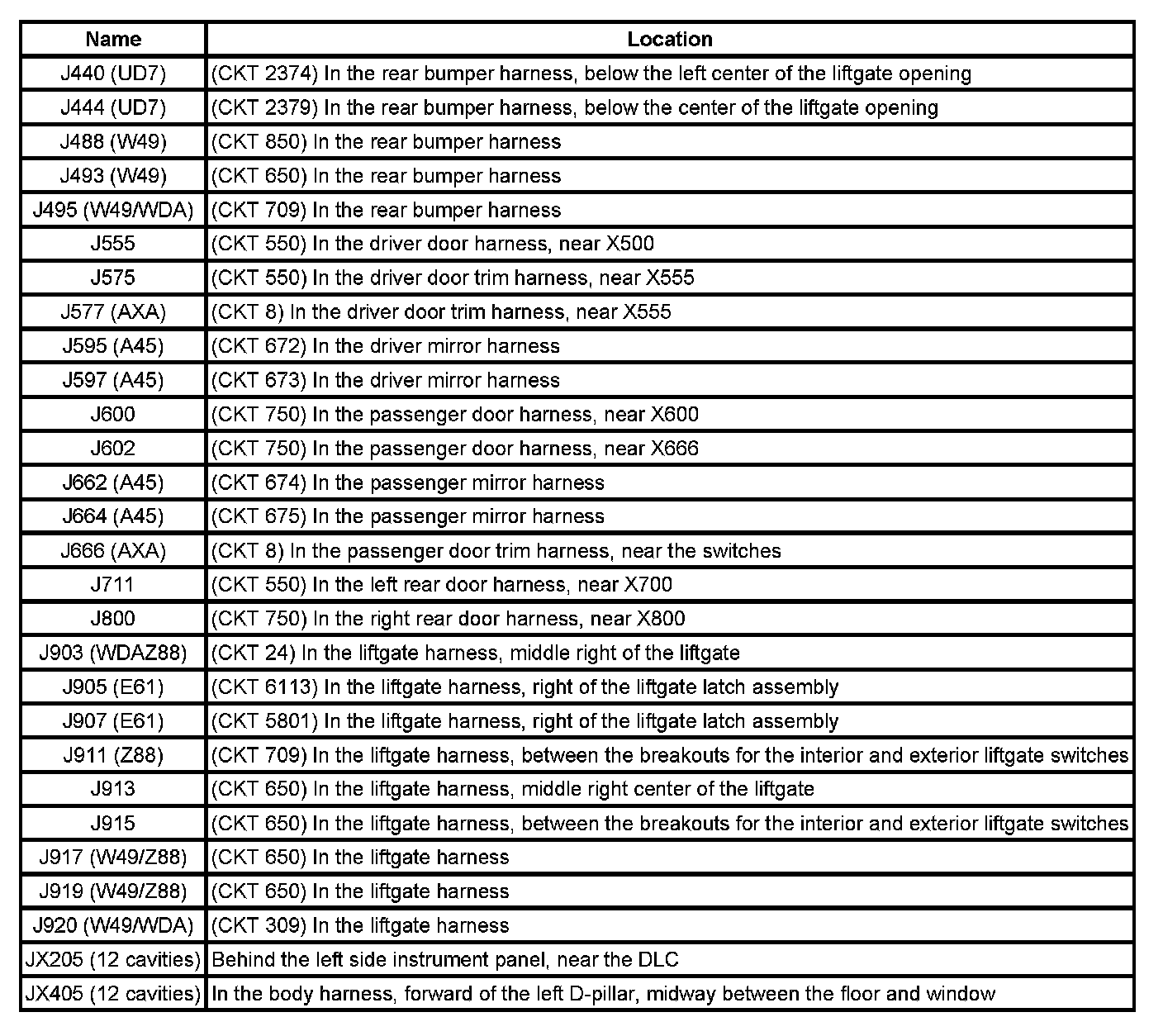
J440 - JX405: