lemon-mirror:
Home >> Ford >> 2011 >> Ranger 2WD L4-2.3L >> Repair and Diagnosis >> Application and ID

Repair and Diagnosis: Application and ID




Identification Codes

Vehicle Identification Number (VIN) Locator





The Vehicle Identification Number (VIN) is a 17-digit combination of letters and numbers. The VIN is stamped on a metal tab riveted to the instrument panel, top upper left of the instrument panel. The VIN is also found on the Vehicle Certification (VC) label.

If the VIN plate requires replacement, authorized dealers must contact their respective regional office.











Vehicle Identification Number (VIN)

World Manufacturer Identifier (WMI)

The first 3 Vehicle Identification Number (VIN) positions are the World Manufacturer Identifier (WMI).

- 1FT - Ford Motor Company, USA, truck, completed vehicle

Restraint Type and Gross Vehicle Weight Rating (GVWR)

The fourth VIN position is the vehicle restraint type and Gross Vehicle Weight Rating (GVWR) code.

- K - 4,001-5,000 pounds GVWR, active safety belts (all positions) with driver and front passenger air bags
- L - 5,001-6,000 pounds GVWR, active safety belts (all positions) with driver and front passenger air bags

Vehicle Line, Series and Body Type

Positions 5 through 7 indicate vehicle line, series and body type.

- R1A - Rear Wheel Drive (RWD), regular cab
- R1E - RWD, SuperCab (2-door)
- R1F - Four-Wheel Drive (4WD), SuperCab (2-door)
- R4E - RWD, SuperCab (4-door)
- R4F - 4WD, SuperCab (4-door)

Engine Code

The eighth VIN position identifies the engine type, displacement and number of cylinders.

- D - 2.3L, electronic fuel injection, 4-cylinder, gas
- E - 4.0L, electronic fuel injection, SOHC, V6, gas

Additional engine information can be obtained from the engine tag.

Check Digit

The ninth VIN position is a government-assigned, computer-generated check digit.

Model Year

The tenth VIN position is the model year code.

- B - 2011

Assembly Plant

The eleventh VIN position is the assembly plant code.

- P - Twin Cities (St. Paul, Minnesota)

Production Sequence Number

The last 6 VIN positions are an alphanumeric code for the vehicle build sequence. This is also the vehicle serial and warranty number. The serial number can also be found on the engine block, transmission and frame.

- Ford Motor Company - A00001-F99999


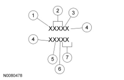
Vehicle Certification (VC) Label

Vehicle Certification (VC) Label Locator





The upper portion of the Vehicle Certification (VC) label contains the manufacturer name, the month and year of manufacture, the certification statement and the Vehicle Identification Number (VIN). It also includes Gross Vehicle Weight Rating (GVWR).

If a vehicle requires replacement of the VC label and is 4 years old or less, an authorized dealer must submit the VIN to their respective regional office. The regional office will submit a web form to the assembly plant for the replacement label. Once the label has been printed, a representative from the regional office will deliver the label to the dealer and witness installation on the vehicle. If a vehicle is more than 4 years old and requires a replacement label, the dealer must submit a request to the Department of Motor Vehicles.










Paint Code

Exterior paint codes may be listed as a 2-part code. The first set of letters/numbers identify the vehicle primary body color. The second set of letters/number (if applicable) identify a 2-tone or accent body color. All colors are base coat/clear coat.

- CX - Dark Shadow Gray
- D3 - Torch Red
- G2 - Redfire
- G9 - Vista Blue
- UA - Ebony
- YN - Silver Metallic #2
- YZ - Oxford White

Wheelbase

Wheelbase codes are as follows:

- 112 - 2,845 mm (112 in) wheelbase
- 118 - 2,997 mm (118 in) wheelbase
- 126 - 3,200 mm (126 in) wheelbase

Interior Trim

Interior trim codes are listed as a 2-part code. The first code listed identifies the trim level. The second code listed identifies the interior trim color.

Interior Trim Type

- Q - Cenery grain vinyl 60/40 split bench seat
- R - Mortar cloth 60/40 split bench seat
- S - Mortar cloth bucket seats

Interior Trim Color

- F - Medium/Dark Flint

Tape/Paint Stripe

Tape and paint stripe codes do not apply.

Radio Type

Radio type codes are as follows:

- 7 - Electronic AM/FM stereo with clock
- Z - AM/FM stereo with CD player and clock

Axle Code

The following lists the gear ratios on axles:

- 86 - 3.73 non-limited slip (7.5 inch)
- 87 - 4.10 non-limited slip (7.5 inch)
- 95 - 3.55 non-limited slip (8.8 inch)
- 96 - 3.73 non-limited slip (8.8 inch)
- 97 - 4.10 non-limited slip (8.8 inch)
- R5 - 3.55, limited slip (8.8 Inch)
- R6 - 3.73, limited slip (8.8 Inch)
- R7 - 4.10, limited slip (8.8 Inch)

Additional axle information can be obtained from the axle tag. Refer to Driveline System - General Information Description and Operation.

Transmission Type

Transmission type codes are as follows:

- D - 5-speed automatic (A5LDE/5R44E/5R55E)
- J - 5-speed manual (R1HD), 4.0L engine
- R - 5-speed manual (M5R1), 2.3L engine

Additional transmission information can be obtained from the transmission tag. Refer to Automatic Transmission - 5R44E and 5R55E Identification Tags or Manual Transaxle/Transmission and Clutch - General Information Manual Transmission.

Spring Codes

Spring codes are listed as a 2-part code. The first character identifies the front spring/torsion bar code. The second character identifies the rear spring code.

Front Coil Spring Codes

- Base part number - 5310

Front Torsion Bar Codes

- Base part number - 5B326 (RH)/5B327 (LH)

Rear Leaf Spring Codes

- Base part number - 5560


Powertrain Calibration Information





NOTE: Powertrain calibration information is limited to a maximum of 5 characters per line on the Vehicle Certification (VC) label. Because of this, calibration identification consisting of more than 5 characters will wrap to the second line on the VC label.

Powertrain calibration information is printed in the lower right corner of the VC label. Only the base calibration information is printed. Revision levels will not appear, however, this information can be obtained through a scan tool using the most current software revision.










Model Year

- 0 - 2000
- 1 - 2001
- 2 - 2002
- 3 - 2003
- 4 - 2004
- 5 - 2005
- 6 - 2006
- 7 - 2007
- 8 - 2008
- 9 - 2009
- A - 2010
- B - 2011

Vehicle Line

- R3 - Ranger

Transmission

- 1 - Automatic transmission
- 2 - Manual transmission

Unique Calibration

The Emissions/Corporate Average Fuel Economy/CO2 Compliance Department is responsible for assigning these calibration numbers. Unique calibration identifications are assigned to cover similar vehicles to differentiate tires, drive configurations, final drive ratios and other certification-significant factors.

These 2 characters are selected by the analyst to identify information unique to each calibration. For example, using the number 2 to denote a 2-valve engine versus using the number 4 to denote a 4-valve engine offers an easily identifiable difference.

Fleet Code

- 0 - Certification (US 4K, final sale in an export market)
- 1 - Heavy duty gas engine/Dyno
- 2 - Fast Automobile Manufacturers' Association, US
- 3 - Alternative durability protocol, US
- 4 - Not assigned
- 5 - Not assigned
- 6 - Evaporative Emission (EVAP)
- 7 - Mileage accumulation aging endurance durability
- 8 - On-Board Diagnostic (OBD)
- 9 - Not assigned

Certification Region

- Lead region where multiple regions are included in one calibration
- 5 - US 50 states
- A - US Federal (including altitude, may include Canada or Mexico)
- B - US California standard (includes US green states)
- C - Canada
- D - China
- E - European Community (Austria, Belgium, Denmark, Finland, France, Germany, Greece, Ireland, Luxembourg, Netherlands, Portugal, Spain, Sweden and United Kingdom)
- F - European Extended Community (E plus Croatia, Czech Republic, Estonia, Hungary, Norway, Poland, Romania, Russian Federation, Slovakia, Slovenia, Switzerland and Yugoslavia)
- G - Gulf Cooperative Council
- H - Hong Kong
- J - Japan
- K - Korea
- L - Malaysia
- M - Mexico
- N - New Zealand
- P - Australia
- Q - South America (Brazil)
- S - Singapore
- T - Taiwan
- U - South America (unleaded fuel)
- V - Vietnam
- X - Rest Of World (ROW)
- Y - Military
- Z - Israel

Revision Level

Revision levels will advance as revisions occur (not printed on label).

- 91-99 - Hardware and certification levels
- 01-04 - Preliminary levels
- 00 - Job 1 production (initial certification)
- 05-09 - Pre-job 1 revisions to calibrations
- 10-89 - Post-job 1 revisions to calibrations
- 0B - Durability test level
- BD - OBD intermediate level (pre-05)