lemon-mirror:
Home >> Ford >> 2011 >> Fiesta L4-1.6L >> Repair and Diagnosis >> Maintenance >> Tune-up and Engine Performance Checks >> Compression Check >> Testing and Inspection >> Compression Test

Compression Test




Engine

Compression Test

1. Make sure the oil in the crankcase is of the correct viscosity and at the correct level and that the battery is correctly charged. Operate the vehicle until the engine is at normal operating temperature. Turn the ignition switch to the OFF position, then remove all the spark plugs.

2. Set the throttle plates in the wide-open position.

3. Install a compression gauge in the No. 1 cylinder.

4. Install an auxiliary starter switch in the starting circuit. With the ignition switch in the OFF position, and using the auxiliary starter switch, crank the engine a minimum of 5 compression strokes and record the highest reading. Note the approximate number of compression strokes necessary to obtain the highest reading.

5. Repeat the test on each cylinder, cranking the engine approximately the same number of compression strokes.

Compression Test - Test Results

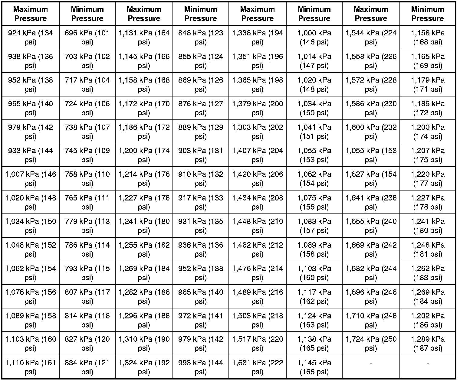
The indicated compression pressures are considered within specification if the lowest reading cylinder is at least 75% of the highest reading. Refer to the Compression Pressure Limit Chart.

Compression Pressure Limit Chart





If one or more cylinders reads low, squirt approximately one tablespoon of engine oil meeting Ford specification on top of the pistons in the low-reading cylinders. Repeat the compression pressure check on these cylinders.

Compression Test - Interpreting Compression Readings

1. If compression improves considerably, piston rings are worn or damaged.

2. If compression does not improve, valves are sticking or not seating correctly.

3. If 2 adjacent cylinders indicate low compression pressures and squirting oil on each piston does not increase compression, the head gasket may be leaking between cylinders. Engine oil or coolant in cylinders could result from this condition.

Use the Compression Pressure Limit Chart when checking cylinder compression so that the lowest reading is within 75% of the highest reading.