lemon-mirror:
Home >> Ford >> 2009 >> Ranger 2WD L4-2.3L >> Repair and Diagnosis >> Maintenance >> Tune-up and Engine Performance Checks >> Compression Check >> Specifications

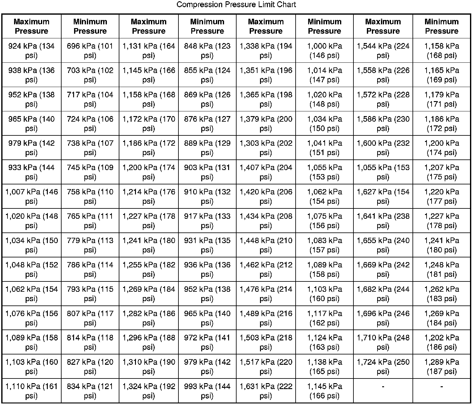
Compression Check: Specifications

Compression Test - Test Results

The indicated compression pressures are considered within specification if the lowest reading cylinder is at least 75% of the highest reading. Refer to the Compression Pressure Limit Chart.

Compression Pressure Limit Chart:





If one or more cylinders read low, squirt approximately one tablespoon of engine oil on top of the pistons in the low-reading cylinders. Repeat the compression pressure check on these cylinders.

Compression Test - Interpreting Compression Readings

1. If compression improves considerably, piston rings are faulty.

2. If compression does not improve, valves are sticking or seating incorrectly.

3. If 2 adjacent cylinders indicate low compression pressures and squirting oil on each piston does not increase compression, the head gasket may be leaking between cylinders. Engine oil or coolant in cylinders could result from this condition.

Use the Compression Pressure Limit Chart when checking cylinder compression so that the lowest reading is within 75% of the highest reading.